
American Standard for Nursery Stock (ANSI Z60.1-2014
ANSI Z60.1-2014 Aprobado el 14 de abril de 2014
Estándares nacionales estadounidenses
Para ayudar a que el desarrollo de estándares en los EE. UU. Sea un proceso equitativo y abierto que sirva tanto a la industria como al bien público, el American National Standards Institute (ANSI, o el «Instituto») acredita a las organizaciones de desarrollo de estándares (SDO) contra un conjunto criterios para garantizar la apertura, el equilibrio, el debido proceso y el consenso en el desarrollo de normas: los “Requisitos esenciales” de ANSI.
El Instituto no desarrolla estándares por sí mismo; más bien, los SDO acreditados por ANSI pueden presentar sus documentos para su aprobación como American National Standards (ANS).
Un ANS es un documento que ha sido patrocinado por un SDO acreditado por ANSI y luego aprobado por la Junta de Revisión de Normas de ANSI por cumplir ciertos criterios con respecto al debido proceso en su desarrollo. La acreditación SDO de ANSI y los procesos de aprobación de ANS trabajan en conjunto para salvaguardar el valor de la designación de ANS, y las auditorías imparciales de ANSI supervisan la integridad de este sistema
. Hasta la fecha, hay más de 10,000 Estándares Nacionales Americanos, que comprenden el trabajo de miles de expertos de cientos de SDO que representan a todos los sectores de la industria.
Un Estándar Nacional Americano implica un consenso de aquellos materialmente afectados por su alcance y disposiciones. Un Estándar Nacional Americano pretende ser una guía para ayudar al fabricante o productor, al comprador y al público en general
El cumplimiento de un ANS es voluntario, y la existencia de un ANS no impide en ningún aspecto que nadie fabrique, produzca, comercialice, compre o use productos, procesos o procedimientos que no cumplan con el estándar.
Las partes en una transacción comercial deben aceptar expresamente que se aplique un ANS.
AVISO: Este Estándar Nacional Americano puede ser revisado o retirado en cualquier momento. Los Estándares Nacionales Estadounidenses están sujetos a revisiones periódicas y se advierte a los usuarios que obtengan las últimas ediciones. Los procedimientos del American National Standards Institute requieren que se tomen medidas para reafirmar, revisar o retirar esta norma a más tardar cinco años después de la fecha de publicación, aunque las extensiones para la aprobación ANSI final de un ANS revisado pueden otorgarse hasta diez años desde la fecha de la aprobación ANSI previa.
Los compradores de los Estándares Nacionales Estadounidenses pueden recibir información actualizada sobre todos los estándares contactando al Instituto Nacional de Estándares Estadounidenses (www.ansi.org
La American Standard for Nursery Stock (ANSI Z60.1) es publicada por: American Horticulture Industry Association d / b / a American Hort, una organización de desarrollo de normas acreditada por ANSI 2130 Stella Court, Columbus, OH 43215 614 487 1117 www.AmericanHort.org
ANEXO A: PREFACIO
La información contenida en este Anexo no es parte de este Estándar Nacional Americano (ANS) y no se ha procesado de acuerdo con los requisitos de ANSI para un ANS. Como tal, este Anexo puede contener material que no ha sido sometido a revisión pública o un proceso de consenso. Además, no contiene los requisitos necesarios para la conformidad con el estándar.
Historia del estándar estadounidense para el vivero (ANSI Z60.1)
El 1 de enero de 2014, se formó AmericanHort con la consolidación de la Asociación Americana de Viveros y Paisajismo y OFA, la Asociación de Profesionales de la Horticultura. Con una experiencia combinada de más de 220 años al servicio de la industria de la horticultura, la visión de la fusión de AmericanHort es unificar la industria, mejorar la colaboración, aumentar la eficiencia organizativa y ampliar el apoyo a las empresas de la industria.
Con ese objetivo en mente, AmericanHort realmente representa a toda la industria de la horticultura, incluidos los criadores, productores de viveros y viveros, minoristas, distribuidores, paisajistas interiores y exteriores, floristas, estudiantes, educadores, investigadores, fabricantes y todos aquellos que forman parte de Cadena de mercado de la industria. Es la asociación nacional líder para la industria, y su tamaño y alcance hacen de AmericanHort la asociación más grande para minoristas de jardinería del mundo.
Una de las primeras actividades de la Asociación Estadounidense de Viveros y Paisajes, anteriormente Asociación Estadounidense de Viveristas, fue el desarrollo de un sistema estandarizado de dimensionamiento y descripción de plantas para facilitar el comercio de viveros.
El Comité de Normas de la asociación se formó en 1921, y la primera edición de «Normas Hortícolas» se publicó en 1923. De vez en cuando, estas normas fueron revisadas y ampliadas para satisfacer las necesidades de la industria. Después de la Segunda Guerra Mundial, la asociación eligió hacer de los estándares un estándar nacional al adherirse a los procedimientos de la Asociación Americana de Estándares. La primera edición publicada bajo los procedimientos de la Asociación Estadounidense de Estándares (precursora del actual Instituto Nacional Estadounidense de Estándares, o «ANSI») se publicó el 22 de junio de 1949. Desde entonces, el Estándar Estadounidense para el Stock de Vivero (ANSI Z60.1) ha sido revisado periódicamente de acuerdo con los requisitos de procedimiento de ANSI.
Las revisiones incluidas en la edición de 2014 fueron desarrolladas por el Comité de Normas Hortícolas de la asociación desde enero de 2005 hasta agosto de 2013. Las revisiones propuestas se enviaron luego a una «lista de escrutinio» que comprende sociedades, asociaciones, empresas e individuos centrados en la horticultura, y agencias gubernamentales relacionadas para su revisión y aprobación con el fin de desarrollar «evidencia del consenso de la industria» para cumplir con los requisitos de ANSI para los estándares nacionales acreditados. Los resultados de las papeletas de votación aprobando por unanimidad las revisiones se proporcionaron a ANSI y se aprobaron el 14 de abril de 2014. Editor gerente Warren A. Quinn, editor gerente de CAE.
Comité de Normas Hortícolas Las siguientes personas sirvieron en el Comité de Normas Hortícolas durante el ciclo de revisión 2005-2014 (tenga en cuenta que algunas afiliaciones profesionales pueden haber cambiado desde el servicio):



ANEXO B: CÓMO UTILIZAR ESTA PUBLICACIÓN
La información contenida en este Anexo no forma parte de este Estándar Nacional Americano (ANS) y no se ha procesado de acuerdo con los requisitos de ANSI para un ANS. Como tal, este Anexo puede contener material que no ha sido sometido a revisión pública o un proceso de consenso. Además, no contiene los requisitos necesarios para la conformidad con el estándar. A. Información general.
El propósito del Estándar Americano para las existencias de viveros (ANSI Z60.1, el «Estándar») es proporcionar a los compradores y vendedores de existencias de viveros una terminología común, un «lenguaje único», con el fin de facilitar las transacciones comerciales que involucran existencias de viveros. Por ejemplo, la Norma establece técnicas comunes para (a) medir plantas, (b) especificar y establecer el tamaño de las plantas, (c) determinar la relación adecuada entre la altura y el calibre, o la altura y el ancho, y (d) determinar si un cepellón o contenedor es lo suficientemente grande para una planta de tamaño particular. Para los especificadores o compradores, es importante que proporcione a los productores o distribuidores especificaciones que cumplan con los términos de la Norma. Para los productores o distribuidores, es importante que las especificaciones del producto en catálogos o propuestas de contrato cumplan con los términos de la norma. Si cualquiera de las partes en una transacción que pretende implicar el Estándar no cumple con el Estándar, es mucho más probable que ocurran conflictos porque las dos partes están «hablando idiomas diferentes». En tales casos, los términos del contrato controlan la transacción y el Estándar puede no ayudar a resolver el conflicto. El estándar está destinado a ser utilizado por horticultores profesionales y arquitectos paisajistas con una comprensión de los términos hortícolas comunes, la nomenclatura de las plantas y los atributos de las plantas. No es aplicable a las transacciones con el consumidor minorista, de quien no se puede esperar que tenga el conocimiento hortícola necesario para aplicar sus términos. Las transacciones de consumidores minoristas están controladas principalmente por las leyes de protección al consumidor, como las que requieren información precisa en anuncios y en etiquetas o señalización.
- Organización y procedimiento
- Antes de ubicar los estándares para una planta en particular, debe saber (a) qué tipo de planta es (por ejemplo, un árbol de sombra o de floración, una conífera o de hoja ancha de hoja perenne, perenne, cobertura del suelo o vid , etc.), (b) el hábito de crecimiento de la especie o cultivar en particular, (por ejemplo, vertical, cónico, extendido, de tallo múltiple, etc.), (c) el método de producción y empaque de la planta en el momento se venderá (p. ej., bolsa de tela enterrada, bolsa de tela enterrada, raíz desnuda, en contenedores, etc.), y (d) el propósito del comprador para la planta (p. ej., plántulas para la conservación o plantaciones de restauración, plantas jóvenes para producción de viveros, caldo de cultivo para brotes / injertos, o para la venta al por menor o comercio de paisajes para su uso en un paisaje gestionado).
- Familiarícese con la sección “Normas generales”, que incluye normas que son aplicables a todo el stock de vivero, con excepciones y aplicaciones particulares señaladas, y aborda muchos de los problemas más importantes con respecto a las especificaciones del stock de vivero.
- Encuentre la sección o capítulo apropiado para la planta.
Cada encabezado de sección incluye una breve explicación de su aplicabilidad general. AmericanHort.org | v
- En la sección correspondiente, determine qué tabla o subsección se aplica a la planta. Revise la información introductoria y el texto que describe las plantas cubiertas por cada tabla o subsección.
- Para las tablas, ubique la fila que proporciona los estándares para la planta. Tenga en cuenta que, en la mayoría de los casos, las tablas representan relaciones mínimas y que el Estándar alienta a las partes a exceder los mínimos en las tablas. También tenga en cuenta las diversas excepciones a los mínimos.
- Los ejemplos de plantas son solo para aclarar los factores utilizados para determinar los tipos de plantas dentro de cada sección. Solo se enumeran algunos ejemplos, y no son listas completas de todos los géneros dentro de cada tipo de planta. Los usuarios deben tener conocimiento hortícola o acceso a recursos hortícolas para determinar el tipo de planta de una especie no incluida en la lista.
- Si no puede ubicar la información debajo del primer grupo de plantas seleccionado, debe revisar otras secciones y determinar si puede haber otro grupo de plantas al que pertenece la planta. 8. El Anexo proporciona tanto un glosario de términos utilizados en la Norma como una métrica tabla de conversión.
La información contenida en este Anexo no es parte de este Estándar Nacional Americano (ANS) y no ha sido procesada de acuerdo con los requisitos de ANSI para un ANS. Como tal, este Anexo puede contener material que no ha sido sometido a revisión pública o un proceso de consenso. Además, no contiene los requisitos necesarios para la conformidad con el estándar
EQUIVALENTES MÉTRICOS

La información contenida en este Anexo no es parte de este Estándar Nacional Americano (ANS) y no se ha procesado de acuerdo con los requisitos de ANSI para un ANS. Como tal, este Anexo puede contener material que no ha sido sometido a revisión pública o un proceso de consenso. Además, no contiene los requisitos necesarios para la conformidad con el estándar. La siguiente tabla fue preparada en cooperación con la Asociación Canadiense de Comercio de Viveros para ayudar en el comercio de viveros entre los EE. UU. Y Canadá, así como con otros países que utilizan el sistema métrico. Se sugieren los siguientes «equivalentes métricos» para dimensionar plantas de vivero:
Sección 1: Estándares generales Los siguientes estándares son aplicables a todo el vivero, con excepciones y aplicaciones particulares señaladas.
1.1 Especificaciones requeridas
1.1.1 Se requiere la especificación del tamaño de la planta
Las especificaciones deben incluir el tamaño de la planta, por calibre, altura o ancho, según sea apropiado para el tipo de planta como se establece en la sección de tipo de planta apropiada, excepto para ciertas plantas perennes y no resistentes al invierno arbustos, que pueden especificarse solo por clase de contenedor (Ver Sección 13 – plantas perennes herbáceas, hierbas ornamentales, cubiertas de tierra y vides, y Sección 3.1.0 – Arbustos caducifolios tiernos tipo 0).
1.1.2 Intervalos de tamaño de planta
Las especificaciones de tamaño de planta deben incluir solo la medición mínima del intervalo de tamaño de planta deseado. La medida así especificada es el tamaño mínimo permitido e incluirá plantas desde ese tamaño mínimo hasta, pero sin incluir el tamaño mínimo en el próximo intervalo de tamaño más grande. Los intervalos de tamaño aceptables para cada tipo de planta se muestran en la sección correspondiente del tipo de planta. Por ejemplo, una especificación para un «2.5 in. Cal». El árbol de sombra Tipo 1 hace referencia al intervalo de tamaño de la pinza de «2.5 a 3 pulgadas», mientras que una especificación para un «5 pies». El árbol de expansión tipo 4 hace referencia a los «5-6 pies». intervalo de tamaño de altura.

1.1.3 Se requiere la especificación de clase de contenedor
Las especificaciones para el vivero cultivado en contenedor deben incluir una especificación de clase de contenedor, de acuerdo con la Tabla 1, a continuación, además de la especificación del tamaño de la planta. Los envases comercializados y vendidos que indican una designación de «intercambio» o «#» deben tener volúmenes dentro de los rangos que se muestran en la Tabla 1 para cumplir con esta norma.
1.1.3.2 Especificaciones incompletas para plantas cultivadas en contenedores
Si se requiere una especificación del tamaño de la planta y solo se especifica la clase de contenedor, la especificación está incompleta y la Norma no proporciona un tamaño mínimo de planta correspondiente (para excepciones, consulte la Sección 13 – plantas perennes herbáceas, hierbas ornamentales, cubiertas de tierra y vides, y Sección 3.1.0 – Arbustos caducifolios tiernos tipo 0). Las tablas que muestran las especificaciones de clase de contenedor recomendadas deben usarse como una guía para determinar qué especificación de clase de contenedor debe acompañar a la especificación del tamaño de la planta, y no pueden usarse como base para rechazar el stock de vivero en función del tamaño de planta mínimo o máximo que se muestra en las tablas en casos donde una especificación no incluye una especificación de tamaño de planta. En tales casos, las partes deben consultar el «requisito general del sistema de raíces» para todas las existencias de vivero cultivadas en contenedores (ver la Sección 1.6, a continuación) para determinar si el sistema de raíces cumple con el Estándar.
1.1.3.3 Contenedores no clasificados
Las partes en una transacción pueden acordar que el stock de vivero estará en un contenedor «no clasificado», que es un contenedor con un volumen no incluido dentro de los rangos de volumen de clase de contenedor recomendados.
1.1.3.4 Relación de clases de contenedor con volúmenes imperiales
Cada clase de contenedor incluye un rango de volúmenes de contenedor aceptables, y no se limita a un solo volumen de contenedor (por ejemplo, un cierto número de «galones»). Los rangos de volumen para las clases de contenedores # 1 a # 100 incluyen el volumen de un contenedor que, si se fabricara, contendría el número equivalente de galones como el número de clase del contenedor. Los usuarios estándar deben consultar las especificaciones de volumen de los fabricantes de contenedores para cumplir con el Estándar. Las especificaciones del stock de vivero que hacen referencia solo a una medición de volumen imperial, como «cuartos» o «galones», no están de acuerdo con el Estándar.
1.1.3.5 Contenedores para plantas pequeñas (designación «SP»)
En general, los contenedores comúnmente referidos en la industria como contenedores de «cuatro pulgadas» o «cuartos» son contenedores # SP4 (1 qt. = 57.75 pulgadas cúbicas). Si los productores, compradores o especificadores incluyen medidas de dimensiones o referencias de volumen imperial, se les recomienda que también especifiquen «redondo» o «cuadrado» y que hagan referencia a la clase de contenedor adecuada en la Tabla de clase de contenedor para asegurar un volumen de suelo adecuado en el contenedor
1.1.3.6 Mediciones de dimensiones para contenedores cuadrados
Las mediciones de dimensiones para contenedores cuadrados se tomarán a lo largo de un lado y no en diagonal.
1.1.3.7 Equivalentes de tamaño de caja
A los efectos de la Tabla 1, el tamaño de caja «equivalente» indica que se puede especificar un tamaño de caja en lugar de la clase de contenedor equivalente indicada, y el stock de vivero en un tamaño de caja equivalente se aceptará en el comercio como de conformidad con una especificación para el vivero producido en contenedores en la clase de contenedor equivalente indicada, y viceversa. No se requiere que las cajas tengan volúmenes que sean «iguales» o que estén dentro del rango de volumen de la clase de contenedor equivalente indicada, o viceversa.
1.1.4 Especificación de designación de corte requerida para árboles de hoja perenne
Las especificaciones para árboles de hoja perenne (consulte la Sección 4 de árboles de hoja perenne coníferas y la Sección 5 de hoja perenne de hoja ancha) deben incluir una designación de corte
1.1.4.1 Designaciones de cizallamiento
1.1.4.1.1 Cultivo natural con solo poda correctiva o reparadora, dejando la forma que es natural para la especie. Nunca esquilado. Especifique como «N.»
1.1.4.1.2 Semi cizallado o levemente cizallado
Cizallado, podado o desmontado simétricamente cuando la planta es joven y luego solo periódicamente durante la vida de la planta. La intención es retener un nivel intermedio de densidad mientras se conserva la forma natural de la especie y no se limita la altura de la planta durante un período de tiempo. El calibrador del tronco no debe ser significativamente más grande que el calibrador del tronco de una planta a la que se le ha permitido crecer como forma natural, como se definió anteriormente. Especificado como «LS».
1.1.4.1.3 Cizallado
Cortado, podado o desbastado anual o semestralmente para mantener una forma simétrica, hacer que la planta sea muy densa y limitar la altura y el ancho de la planta durante un período de tiempo. Por lo tanto, el calibrador del tronco de la planta continuará aumentando a un ritmo desproporcionado con respecto al tamaño de la planta, y será más grande que el calibrador del tronco de una planta a la que se le ha permitido crecer naturalmente. Especificar como «S»
1.1.4.1.4 Forma alterada
Esquilada o podada para lograr un hábito de forma o ramificación que no es natural para la especie, como topiario, espaldera, adiestrado con alambre, etc. (consulte la Sección 1.4.4, a continuación). Las especificaciones deben incluir el tamaño mínimo del cepellón o la clase de contenedor.
1.1.4.2 Cumplimiento de especificaciones sin designación de corte
Si una especificación no incluye una designación de corte, el material de vivero que se ajuste a la definición de cualquier designación de corte, excepto la forma alterada, se considerará aceptable para los propósitos de esta sección 1.1.4
.1.2 Métodos de medición
1.2.1 Calibrador de medición
Para árboles frutales (Sección 8), frutas pequeñas (Sección 9), sotobosque (Sección 10) y plántulas y arbustos (Sección 11), la medición del calibrador se tomará en el cuello de la raíz o en otros puntos expresamente descritos en esas secciones. Para todas las demás existencias de viveros, la medición del calibre se tomará seis pulgadas por encima del nivel del suelo para las existencias cultivadas en el campo y desde la línea de tierra para las existencias cultivadas en contenedores, que deben estar en o cerca de la parte superior de la antorcha de la raíz, y seis pulgadas por encima de la raíz abocinado para plantas de raíz desnuda, hasta el intervalo de tamaño de calibre de cuatro pulgadas incluido (es decir, desde cuatro pulgadas hasta, pero sin incluir, 4½ pulgadas). Si el calibrador medido a seis pulgadas mide cuatro pulgadas y media o más, el calibrador se medirá a 12 pulgadas sobre el nivel del suelo, la línea del suelo o la antorcha radicular, según corresponda. Rara vez hay troncos de árboles perfectamente redondos. La medición más precisa resultará del uso de una cinta de diámetro. Las medidas de la pinza tomadas con herramientas manuales o electrónicas de tipo «ranura» o «pinza» deben ser el promedio de las mediciones más pequeñas y grandes.
1.2.2 Medición de la altura y la extensión
1.2.2.1 Aplicación general
La medición de la altura se tomará desde el nivel del suelo para el material cultivado en el campo y desde la línea del suelo para el material cultivado en contenedores, que debe estar en o cerca de la parte superior de la antorcha radicular, y desde el Destello de raíz para plantas de raíz desnuda. La medida de la extensión debe ser la extensión promedio de las ramas de la planta, sin hojas para arbustos caducifolios, incluidas las hojas para árboles de hoja perenne (ver Figura 2)

1.2.2.2 Medición de la altura: arbustos caducifolios
Para los arbustos caducifolios, la medición de la altura se extenderá hasta la parte superior de todos los bastones que cumplan con la especificación de altura, según corresponda al tipo de planta. Esto generalmente está en un punto debajo del punto más alto de la planta. Por ejemplo, un arbusto caducifolio de 2 ‘Tipo 2 debe tener cuatro bastones que alcancen al menos 2’, incluso si dos o tres bastones son más altos que 2 ‘(ver Figura 3).

1.2.2.3 Medición de altura: árboles de hoja perenne
Para árboles de hoja perenne, la medición de altura no se debe tomar en la punta del líder, sino que se debe tomar en el punto medio entre la espiral (s) superior y la punta del líder (consulte la Figura 4 y la Figura 5 )

1.2.3 Especificaciones requeridas para árboles con tallos múltiples (troncos)
1.2.3.1 Forma deseada
Las especificaciones para árboles con tallos múltiples (troncos) deben incluir si la forma deseada es forma de arbusto, forma de racimo o tallo múltiple, como se establece en la Sección 2.5.
1.2.3.2 Altura, número mínimo de tallos, calibrador, método de medición del calibrador
Las especificaciones para árboles en forma de arbusto y árboles de tallo múltiple deben incluir la altura. Las especificaciones para los árboles en forma de grupo deben incluir el número mínimo requerido de tallos (troncos), altura o calibrador, según sea apropiado para el tipo de planta, y el método utilizado para determinar la medición del calibrador, si se especifica calibrador (ver Sección
1.2.3.3, a continuación ) Se especificará así un árbol de dos tallos.
1.2.3.2.1 Especificación predeterminada si las especificaciones no incluyen el número mínimo de tallos
En el caso de que las especificaciones para un árbol de forma de grupo no incluyan el número mínimo de tallos (troncos), un árbol de tres tallos deberá cumplir con la especificación.
1.2.3.3 Método de medición del calibrador
Cuando se incluye una medición del calibrador en las especificaciones, las especificaciones también deben incluir el método utilizado para determinar la medición del calibrador, que se muestra a continuación:
- A El número de troncos requeridos y el calibrador mínimo de cada tronco requerido.
- El calibrador de solo el tronco más grande, con todos los otros troncos requeridos dentro de un cierto rango de calibre del tronco más grande (por ejemplo, en porcentaje o dentro de dos tamaños de calibre más pequeños). Este es el método canadiense.
- La pinza especificada es la mitad (1 ⁄2) de la pinza de los tres troncos requeridos más grandes.
- El calibrador especificado es el promedio de todos los troncales requeridos.
1.2.3.3.1 Especificación predeterminada si las especificaciones no incluyen el método de medición de la pinza
En el caso de que una especificación de calibrador no incluya un método de medición, el cumplimiento de la especificación de calibrador se determinará mediante el Método C, como se muestra en la Sección 1.2.3.3, arriba.
1.3 Requisitos mínimos para todas las existencias de vivero
1.3.1 Requisito de identificación correcta
Todas las existencias de vivero que se negocien dentro de los términos de la Norma se identificarán correctamente por género, especie y, si corresponde, cultivar.
1.3.2 Requisito de calidad mínima
Todo el material de vivero que se negocie dentro de los términos de la Norma deberá estar, al momento del envío, sustancialmente libre de insectos y enfermedades dañinas, en buenas condiciones de vida y habituales para las especies en la región del país en el que se cultiva.
1.3.3 Tallos codominantes: árboles de sombra tipo 1 y tipo 2 A menos que se especifiquen como árboles de tallo múltiple (ver Sección 1.2, arriba), árboles de sombra tipo 1 y tipo 2 (ver Sección 2) con tallos codominantes que ocurren dentro de la mitad inferior de la corona no cumple con el requisito de calidad mínimo establecido en la Sección 1.3.2 (consulte la Figura 6, a continuación)

1.3.4 Cortes de poda para corregir lesiones, daños o estructuras ramificadas
Los cortes de podas para corregir lesiones, daños o estructuras ramificadas deben cumplir con las disposiciones de la edición más reciente de Manejo de árboles, arbustos y otras plantas leñosas – Prácticas estándar – Parte 1 – Poda (ANSI A300) para satisfacer el requisito mínimo de calidad establecido en la Sección 1.3.2.
1.3.5 Plantas no cultivadas en el vivero
1.3.5.1 Plantas recolectadas Las plantas recolectadas de rodales nativos o plantaciones establecidas deberán especificarse de esta manera. Para las plantas con raíces desnudas recolectadas, la extensión de las raíces debe ser al menos un tercio (33%) mayor que la extensión de las raíces que se muestra para las plantas con raíces desnudas cultivadas en vivero. Para las plantas recolectadas cosechadas con un cepellón intacto, el tamaño mínimo del cepellón será igual al siguiente intervalo de tamaño más grande que se muestra en la tabla apropiada para el stock de vivero. Las plantas recolectadas se pueden considerar cultivadas en vivero cuando se han restablecido con éxito en el vivero y se han cultivado bajo prácticas culturales de vivero regulares durante un mínimo de dos temporadas de crecimiento y han alcanzado un crecimiento adecuado de raíz y parte superior para indicar la recuperación completa del trasplante en el vivero.
1.3.5.2 Plantas cultivadas en plantaciones a plena tierra
Las existencias de vivero cultivadas en plantaciones se especificarán de esta manera. Para las plantas cultivadas en plantaciones cosechadas con un cepellón intacto, el tamaño mínimo del cepellón será igual al siguiente intervalo de tamaño más grande que se muestra en la tabla apropiada para el stock de vivero.
1.4 Especificaciones opcionales
1.4.1 Especificaciones de medición opcionales Las especificaciones pueden incluir especificaciones de medición además de las especificaciones requeridas. Por ejemplo, si el calibrador es la única especificación requerida, las especificaciones también pueden incluir la altura.
1.4.2 Especificaciones descriptivas o de calidad opcionales
Se alienta a los especificadores y compradores a proporcionar especificaciones adicionales y lenguaje descriptivo adecuadamente detallado en la medida en que las especificaciones requeridas y los requisitos mínimos no proporcionen detalles suficientes para una transacción en particular. Cuando las especificaciones incluyen designaciones de calidad opcionales, como «muestra» o «grado de calidad», se deben indicar las características deseadas. Por ejemplo, las especificaciones deben incluir desviaciones de los mínimos estándar para calibrador, altura, diámetro del cepellón, tamaño del contenedor o caja, etc., así como otros factores como la simetría, el ancho de la corona, la plenitud de la ramificación, el líder dominante simple o único por encima del punto mínimo establecido en la Sección 1.3.3, edad, técnicas de poda especializadas o singularidad de la planta. La determinación del cumplimiento del término «espécimen» se determinará con referencia a las características descriptivas proporcionadas en las especificaciones del especificador o del comprador.
1.4.3 Altura de rama más baja para árboles de calle
Las especificaciones de la oferta para árboles que se usarán como árboles de calle incluirán la altura mínima de la rama más baja, o la altura a la cual el tronco no tendrá ramas, lo que deberá tener una relación con el tamaño y una especie de árbol para que la copa del árbol esté en buen equilibrio con el tronco.
Ejemplos: Acer platanoides, 2 pulg. Cal., 12 a 14 pies., Tronco sin ramas 6 pies.
Quercus rubra 3½ pulg. Cal., 14 a 16 pies., Rama más baja 7 pies.
1.4.4 Plantas podadas o entrenadas para otros usos
Cuando se desea una forma de crecimiento que no esté de acuerdo con un hábito de crecimiento natural, esta forma debe especificarse de esta manera. Ejemplos: Recorte o corte: podado para multiplicar la estructura de ramificación y desarrollar un efecto más formal. Topiario: cortado o recortado de cerca en un patrón geométrico formal. Espaleado: entrenado en una estructura de una forma y estilo específicos.
1.4.5 Especificaciones opcionales de trasplante o poda de raíces
En ciertos paisajes, tales como plantaciones de árboles de calle o contenedores con disponibilidad limitada de suelo, o cuando el comprador desea una masa de raíz particularmente bien formada, las especificaciones pueden incluir el número mínimo de veces que el vivero deberá ha sido trasplantado (p. ej., «trans. 3x») o podado de raíz. En tales casos, el stock de vivero puede enviarse con un cepellón más pequeño de lo que se permitiría, y se puede especificar el cepellón más pequeño permitido. Los tamaños mínimos de cepellón que se muestran en cada sección aplicable se basan en plantas que no han sido trasplantadas después de haber sido delimitadas en el campo, que es la práctica típica y aceptada en la industria. Por ejemplo, si la densidad de raíces es de particular importancia para un vendedor, comprador o especificador, el material de vivero puede designarse en materiales de marketing o en documentos de especificación como trasplantado o podado de raíz un cierto número de veces. En tales casos, el productor puede enviar el vivero con un tamaño de cepellón más pequeño que el que se muestra en la sección correspondiente. Este enfoque tiene la intención de ayudar a aquellos miembros del comercio que reconocen el valor de las prácticas culturales mejoradas en la industria de los viveros.
1.5 Requisitos del cepellón para el vivero cultivado en el campo
1.5.1 Diámetros del cepellón
Las tablas en toda la Norma proporcionan los tamaños mínimos recomendados de cepellón para el vivero que se cultiva (a) en el suelo del vivero sin dispositivos artificiales de restricción de raíces, como contenedores o bolsas de tela, (b) cultivadas en condiciones de crecimiento favorables, habiendo recibido el tratamiento cultural adecuado para desarrollar un sistema radicular bien ramificado, y (c) cosechadas con la bola de tierra en la que crecen permanecen intactas (p. ej. arpillera). Muchos factores afectan el tamaño mínimo del cepellón. Aunque el tamaño mínimo de la bola no es una especificación requerida, se recomienda a las partes en las transacciones de existencias de viveros que aborden el tamaño mínimo de la bola en las comunicaciones personales o en los documentos de especificación antes de la transacción. El objetivo en todas las transacciones de stock de vivero es que los cepellones cumplan con el siguiente requisito general:
El tamaño de los cepellones siempre debe ser de diámetro y profundidad para abarcar suficiente sistema fibroso y radicular alimentario según sea necesario para la recuperación completa de la planta. Dada la variedad de prácticas culturales aceptables en la industria, los tamaños del cepellón establecidos en cada sección aplicable se basan en aquellos factores que son objetivamente observables y medibles: la altura, el ancho o la medición de la pinza. Otras prácticas culturales en el vivero, como las prácticas de trasplante o poda de raíces o las técnicas de riego, o los tipos de suelo y las condiciones locales de crecimiento, ciertamente afectan la densidad de las raíces, pero son mucho más difíciles de observar y medir dentro del contexto de la Norma. Se reconoce que las plantas que tienen un sistema radicular grueso o extendido debido al hábito natural de crecimiento, la condición del suelo, la práctica de trasplante poco frecuente o las plantas que se mueven fuera de temporada, requerirían un cepellón más grande que el tamaño recomendado. También se reconoce que puede haber circunstancias en las que los tamaños recomendados pueden ser excesivos, como el stock cultivado en macetas u otros recipientes, plantas de campo plantadas recientemente de recipientes o con bolas más pequeñas, o plantas que han sido frecuentemente trasplantadas o podadas de raíz.
1.5.2 Planta en el centro del cepellón
El centro del tronco (s) o tallo (s) de la planta debe estar en el centro del cepellón. Una tolerancia del 10% del diámetro del cepellón es la desviación máxima permitida (ver Figura 7). Por ejemplo: para una planta con un cepellón de 30 pulgadas, el centro de la planta a nivel del suelo debe estar dentro de un círculo de tres pulgadas a 13 ½ pulgadas del borde exterior de la bola
Foto
1.5.3 Profundidades del cepellón de raíz
Medición: La profundidad de la bola de raíz se mide desde la parte superior del cepellón, que en todos los casos comenzará en el ensanchamiento de la raíz (ver Figura 8). El suelo por encima de la antorcha radicular, por haberse plantado profundamente en el vivero como planta joven, como resultado de las prácticas de mantenimiento en el vivero, o agregado durante la cosecha, no debe incluirse en la medición de la profundidad de la bola, y debe eliminarse. Bajo ciertas condiciones de suelo y regionales, las plantas tienen sistemas de raíces de proporcionalmente menor profundidad y mayor diámetro. Estos requieren una cepellón más superficial pero más ancha para abarcar adecuadamente las raíces. Por el contrario, en otros suelos y en ciertas regiones, las raíces desarrollan mayor profundidad y menor extensión, lo que requiere un cepellón excepcionalmente profunda, que puede ser de menor diámetro y mayor profundidad que el tamaño recomendado. Para la mayor parte del país, las profundidades del cepellón tendrán las siguientes proporciones: cepellones de raíz con diámetros menores a 20 pulgadas – profundidad no menor al 65% del diámetro de la pelota. Cepellones de raíz con diámetros de 20 pulgadas y más – profundidad no menor al 60% del diámetro del cepellón.

1.5.4 Arpillera
La arpillera u otro material adecuado deberá ser biodegradable y cubrir completamente el cepellón. Esta envoltura debe estar entre la cepellón de tierra y el dispositivo de amarre o cepellón de soporte.
1.5.5 Dispositivos de soporte de cepellones
Si se utilizan, los dispositivos de soporte de cepellones, como canastas de alambre, deben sostener al cepellón en una condición firme y rígida.
1.5.6 Uso de máquinas de excavación reconocidas
Se reconoce que el balanceo del material cultivado en vivero se puede lograr mediante excavación manual o mediante dispositivos mecánicos especialmente diseñados para condiciones de vivero. El uso de máquinas excavadoras es una práctica de vivero aceptable.
1.6 Sistemas de raíces cultivadas en contenedores
1.6.1 Requisito general para sistemas de raíces cultivadas en contenedores
En todos los casos, el sistema de raíces del vivero cultivado en contenedores deberá cumplir con el siguiente requisito general: El vivero en contenedores deberá tener un sistema de raíces bien establecido que llegue a los lados del contenedor para mantener una bola firme, pero no debe tener un crecimiento excesivo de la raíz que rodea el interior del contenedor.
1.6.2 Contenedores que fomentan o manipulan el crecimiento de las raíces reconocidos
Se reconoce que los contenedores con agujeros o hechos de tela son un método de aireación para podar las raíces, o con recubrimientos para evitar que las raíces lleguen a los lados del contenedor, o en forma para entrenar las raíces. crecer verticalmente en lugar de rodear el contenedor, son aceptables en el comercio.
1.7 Cultivado en cajas
Se reconoce que muchos árboles se cultivan y envían en cajas, y que esta es una práctica aceptable en el comercio. La Tabla 1 muestra la relación de tamaños de caja y clases de contenedor aceptadas en el comercio, aunque las cajas pueden tener volúmenes de suelo sustancialmente más altos que el equivalente de clase de contenedor que se muestra.
1.8 Tamaños de bolsas de tela enterradas
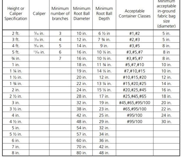
Las bolsas de tela enterradas deben tener diámetros, profundidades y volúmenes cúbicos mínimos como se establece en la Tabla 2.

Sección 2: Árboles de sombra y floración
Esta sección se aplica a las plantas que generalmente se venden al comercio minorista y al paisaje. Para alinear el stock, incluidos los látigos, consulte la Sección 7.
2.1 Árboles de sombra tipo
1 2.1.1 Clasificación de los árboles de sombra tipo 1
La relación de altura con la pinza, para los árboles de sombra tipo 1, se muestra en la Tabla 3, en la Sección 2.1.2, abajo. Se reconoce que las condiciones climáticas en diferentes secciones del país producen árboles de diferentes proporciones de altura de calibre. Los árboles de una región del país pueden tener menos calibre en proporción a la altura, mientras que los árboles de otra sección pueden tener un calibre mayor en proporción a la altura que se muestra en la Tabla 3 en la Sección 2.1.2, que muestra el rango de altura promedio y el promedio Alturas máximas.
2.1.2 Especificaciones para árboles de sombra tipo 1


2.2 Árboles de sombra de tipo
2 2.2.1 Clasificación de los árboles de sombra de tipo 2
Árboles de crecimiento más lento que el tipo 1 que generalmente no alcanzarán la medición de altura en relación con el calibre como en el tipo 1. Sin embargo, la altura no debe ser inferior a dos tercios de la relación de altura dada para el Tipo 1, como se muestra en la Tabla 4 en la Sección 2.2.2, a continuación.

2.2.2 Especificaciones para árboles de sombra tipo 2
Las especificaciones para árboles de sombra Tipo 2 cultivados en el campo deben incluir el tamaño de la planta, por calibrador. Las especificaciones para los árboles de sombra Tipo 2 cultivados en contenedores deben incluir el tamaño de la planta, por altura, hasta la designación de tamaño de 7-8 ‘y la clase de contenedor. A partir de entonces, la especificación del tamaño de la planta será por calibrador. Las medidas de altura se realizarán en intervalos de un pie. Las medidas de la pinza serán intervalos de ¼ de pulgada a 1¾-2 «, luego intervalos de ½ pulgada a 5½-6», luego intervalos de una pulgada a 9-10 «, luego intervalos de dos pulgadas a partir de 10-12» y más. Se pueden usar equivalentes decimales para fracciones. Ejemplos: Aesculus pavia, Brachychiton acerifolius, Celtis reticulata, Cladrastis lutea (kentukea), Cocculus laurifolius, Conocarpus erectus var. sericeus, Fagus sylvatica, Koelreuteria paniculata, Liquidámbar styraciflua, Magnolia grandiflora, Nyssa sylvatica, Quercus alba, Q. fusiformis, Sorbus aucuparia, Syringa reticulata, Tabebuia cariaba, Tilia cordata, T. euchlora

2.3 Árboles verticales pequeños de tipo 3 2.3.
1 Clasificación de los árboles verticales pequeños de tipo 3 Este es un grupo amplio que incluye árboles pequeños y verticales que se pueden cultivar en forma de tallo simple o múltiple.

2.3.2 Especificaciones para árboles verticales pequeños tipo 3
La medición indica la altura en pies a través del intervalo de tamaño de 5-6 ‘, luego el calibre en pulgadas a partir de entonces. Las medidas de altura se realizarán en intervalos de un pie. Las medidas de la pinza deben ser intervalos de ¼ de pulgada a 1¾-2 «, luego intervalos de ½ pulgada a 5½-6», luego intervalos de una pulgada a 9-10 «, luego intervalos de dos pulgadas a partir de 10-12» y más. Se pueden usar equivalentes decimales para fracciones. Ejemplos: Acer campestre, A. circinatum, Cercis, Chionanthus virginicus, Crataegus, Halesia, Malus ‘Adirondack,’ M. ‘Sentinel,’ Osmanthus frangrans, Photinia x fraseri, Podocarpus macrophyllus, Prunus cerasifera ‘Thundercloud,’ P. serrulata, P . subhirtella, Pyrus calleryana ‘Whitehouse’, ‘Capitol,’ Styrax

2.4 Árboles pequeños de propagación de Tipo 4
2.4.1 Clasificación de árboles pequeños de expansión de Tipo 4
Este es un grupo amplio que incluye árboles pequeños y de propagación de hábito de crecimiento enano y ciertos arbustos grandes que crecen en forma de tallo simple o múltiple.

2.4.2 Especificaciones para pequeños árboles de propagación tipo 4
Tabla 6 – Especificaciones para árboles pequeños de propagación de tallo único Tipo 4 La medición indica la altura en pies a través del intervalo de tamaño de 5-6 ‘, luego el calibre en pulgadas a partir de entonces. Las medidas de altura se realizarán en intervalos de un pie. Las medidas de la pinza deben ser intervalos de ¼ de pulgada a 1¾-2 «, luego intervalos de ½ pulgada a 5½-6», luego intervalos de una pulgada a 9-10 «, luego intervalos de dos pulgadas a partir de 10-12» y más. Se pueden usar equivalentes decimales para fracciones.
Ejemplos: Acacia farnesiana, Acer palmatum, A. griseum, Calliandra haematocephala, Callistemon viminalis, Citris reticulata, Conocarpus erectus, Cornus florida, Laburnum x watereri, Lagerstroemia indica, Ligustrum japonicum (formas de árboles), L. lucidum, Loropetalum xinens chinens M. soulangiana, M. stellata, Malus sargentii, Olea europae, Viburnum prunifolium, Vitex agnuscastus

2.5 Árboles con tallos múltiples (troncos)
2.5.1 Aplicación general Consulte la Sección 1.2.3 para ver las especificaciones requeridas para árboles con tallos múltiples (troncos). Los árboles con tallos múltiples (troncos) ocurren naturalmente en muchos géneros o pueden ser manipulados en el vivero. Los «retoños» de troncos o de las raíces que tienen ramificaciones o formas que no son típicas de la especie o cultivar no se tratarán como «tallos» o «troncos»

2.5.2 Árboles en forma de arbusto
2.5.2.1 Clasificación de los árboles en forma de arbusto
Esta forma se clasifica según la manera en que se mantiene la planta, en general, todos los tallos persistentes y prósperos que surgen de la corona de la raíz o en un punto justo por encima de la corona se retienen y se permite que el follaje permanezca intacto en las ramas cercanas al suelo. Los tallos adicionales pueden crecer desde la corona de la raíz o en un punto justo por encima de la corona de la raíz y se les permite crecer hasta la madurez durante toda la vida de la planta, y los tallos más viejos pueden podarse al suelo. Además, las especies en este grupo generalmente no superan los 15 pies de altura en la madurez, generalmente son árboles de Tipo 3 o Tipo 4, y naturalmente pueden producir múltiples tallos sin manipulación en el vivero. Ejemplos: hábito estrecho o erguido: Amelanchier, Cornus kousa, C. mas, Corylus americana, Crataegus phaenopyrum, Laegerstroemia indica, L. ‘Victor’, Syringa vulgaris, Viburnum lentago, V. opulus Hábito amplio o extendido: Acacia minuta, Aesculus parviflora , Betula nigra ‘Fox Valley’, Cotoneaster multiflorus, Crataegus crus galli inermis, Hamamelis vernalis, Magnolia Betty, M. stellata, Prunus cistena, Viburnum lantana, V. rhytidophyllum
2.5.2.2 Intervalos de medición para árboles en forma de arbusto
Intervalos de altura para árboles en forma de arbusto será como sigue: intervalos de un pie hasta 7-8 ‘de altura, luego intervalos de dos pies a partir de entonces.
2.5.3 Árboles en forma de grupos
2.5.3.1 Clasificación de los árboles en forma de grupos
Donde tres o más árboles jóvenes se han plantado en un grupo y han crecido juntos como un solo árbol que tiene tres o más troncos o troncos principales, distinguidos de los árboles en forma de arbusto por manera en que se mantiene la planta, en que el follaje generalmente se elimina de la parte inferior de la planta. 2.5.3.2 Sistema radicular unificado de árboles en forma de grupos Los árboles en forma de grupos deberán tener un sistema de raíces unificado y bien establecido para permitir la cosecha, el envío y la plantación como un solo cepellón.
2.5.3.3 Intervalos de medición para árboles en forma de grupo
El tamaño de la planta para los árboles en forma de grupo de Tipos 1 y 2 puede especificarse por altura o calibre hasta 7-8 ‘de altura, y luego debe especificarse por calibrador a partir de entonces. Los árboles de forma de grupos de los tipos 3 y 4 deben especificarse por altura hasta 5-6 », luego por calibrador a partir de entonces.
2.5.4 Clasificación de árboles de tallos múltiples .
Cuando tres o más tallos principales surgen del suelo de una sola corona de raíz o en un punto justo por encima de la corona de raíz, se distingue de los árboles en forma de arbusto por la forma en que se mantiene la planta, en ese follaje generalmente se elimina de la parte inferior de la planta. Para las especies que naturalmente producen múltiples tallos desde las raíces, solo se retiene un cierto número de tallos o troncos cuando la planta es joven y luego se mantiene a medida que la planta madura. Las plantas más grandes descritas en esta sección como árboles de «múltiples tallos» pueden especificarse alternativamente como árboles de «múltiples troncos». Se reconoce que, en ciertas regiones del país, algunas especies generalmente se venden en el comercio como formas de árboles en lugar de formas de arbustos, aunque se les permite retener la mayoría de las ramas inferiores y el follaje (ejemplo: Betula), pero solo un Se retiene un número limitado de tallos o troncos principales a medida que el árbol madura.
Ejemplos (forma de racimo o tallo múltiple): Acer ginnala, A. rubrum, Alnus glutinosa, Amelanchier laevis, Betula nigra, Carpinus caroliniana, Cercidium, Cercis canadensis, Cornus alternifolia, C. florida, Corylus avellana, Crataegus punctata, Fraxinus pennsylvanica var . lanceolata, Gleditsia triacanthos inermis, Hamamelis virginiana, Lagerstroemia ‘Natchez,’ Magnolia soulangiana, M. virginiana, Malus floribunda, Prosopis, Prunus padus, Syringa reticulata, Tilia cordata, T. euchlora, Viburnum plicatum, V. prunifolium
2.5.4. “Tronco único, ramificación baja”
Donde múltiples tallos o ramas principales se originan de un solo tallo principal en un punto no más alto que seis pulgadas del suelo. Estos tipos se crean con técnicas especializadas en lugar de ser tan naturales para la especie (por ejemplo, árboles frutales injertados, formas especiales de Malus). Este tipo se especificará así. Si las ramas más bajas están a más de seis pulgadas del suelo, especifíquelas en la Sección 2.1, 2.2, 2.3 o 2.4, más arriba, e incluya la especificación de «ramificación baja».
2.5.5 Diámetros de bola de raíz y clases de contenedor para forma de grupo, forma de arbusto y árboles de tallo múltiple
2.5.5.1 Diámetros de bola de raíz para árboles en forma de grupo
Los diámetros mínimos de bola de raíz para árboles en forma de grupo se determinarán con referencia a las tablas de tipo de planta apropiadas que se muestran arriba en esta Sección 2, usando el calibrador igual a la mitad (1 ⁄2) del calibrador total de hasta los tres troncos requeridos más grandes, independientemente del método de medición del calibrador utilizado en la especificación, e incluso si solo se especifica la altura (por ejemplo, para árboles de sombra Tipo 1 o 2). Para los árboles en forma de grupos con más de 12 pulgadas entre los puntos centrales de cualquiera de los dos troncos, se debe agregar la mitad de esa distancia al diámetro del cepellón que se muestra en la tabla de tipo de planta adecuada para asegurar que haya una cantidad suficiente de raíces alrededor del perímetro de la pelota se retienen durante la cosecha. Por ejemplo, si dos troncos son 14 pulgadas de centro a centro, se deben agregar siete pulgadas al tamaño del cepellón indicado en la tabla de tipo de planta apropiada. Una medición de pinza resultante de la aplicación de la fórmula que se encuentra entre una medición de pinza en la tabla de tipo de planta apropiada debe usar la siguiente pinza más grande que se muestra en la tabla (por ejemplo, para árbol Tipo 4, Tabla 6, pinza de 3 ¾ de pulgada, redondear hacia arriba calibre de 4 pulgadas, que requiere un mínimo de bola de raíz de 42 pulgadas).
2.5.5.2 Diámetros de bola de raíz y clases de contenedor para forma de arbusto y árboles de tallo múltiple
Los diámetros mínimos de bola de raíz para la forma de arbusto y los árboles de tallo múltiple se determinarán por altura, de acuerdo con la siguiente Tabla 7, incluso si las medidas de la pinza se incluyen en las especificaciones.

2.6 Palmas
En tamaño de palmeras, la altura tendrá prioridad. Se puede especificar cualquiera de las dos alturas: altura total o altura del tronco. La altura total es la altura perpendicular desde el suelo, que debe estar en o cerca de la parte superior de la zona de la raíz, hasta la parte superior del arco hecha por la fronda arqueada más alta con el árbol parado en posición natural. La altura del tronco se mide desde la línea de tierra, que debe estar en o cerca de la parte superior de la zona de la raíz, hasta la base de la hoja del corazón. En los casos en que no se especifique el tamaño del cepellón o la caja (contenedor), el tamaño mínimo del cepellón o el tamaño de la caja recomendado en esta sección se considerará aceptable (consulte la Tabla 6 o la Tabla 7)

2.7 Relación de calibre / altura / extensión de raíz para árboles de raíz desnuda cultivados en vivero
Todos los árboles de raíz desnuda deberán tener un sistema de raíz bien ramificado característico de la especie. La siguiente tabla representa la extensión mínima de la raíz para árboles de sombra cultivados en viveros.

2.8 Campo en maceta o en la caja de campo
Las plantas en maceta de campo son plantas cultivadas en vivero, excavadas con una bola de tierra todavía intacta en la que crecen, y que, en lugar de arpillera, se colocan en un recipiente para mantener la bola intacta . Los tamaños mínimos de cepellón deberán ser iguales a los especificados en la tabla de tipo de planta apropiada para el vivero cultivado en el campo antes de colocarse en el contenedor
2.9 Ballado procesado
Las plantas embaladas procesadas son plantas cultivadas en el campo, cultivadas en vivero, excavadas en la raíz desnuda, mientras están inactivas, a las cuales se forma un medio de cultivo mecánica o manualmente alrededor de las raíces para formar una bola. Los tamaños mínimos de cepellón para árboles procesados deben ser iguales a los especificados en la tabla de tipo de planta apropiada para el vivero cultivado en el campo.
Sección 3: Arbustos de hoja caduca
Esta sección se aplica a las plantas que generalmente se venden al comercio minorista y paisajístico. Para los grados de revestimiento, consulte la Sección 7.
3.0 Número mínimo de ramificaciones
Las tablas proporcionadas en esta sección muestran el número mínimo típico de ramificaciones para cada tamaño de planta para cada tipo de planta (consulte la Sección 1.2.2.2 y la Figura 3 para la medición de arbustos caducifolios). Tienen la intención de ser pautas para determinar el número mínimo de ramificaciones generalmente aceptables en el comercio de arbustos caducifolios. Los especificadores pueden incluir el número mínimo de ramificaciones en una especificación si las pautas que se muestran en esta sección pueden ser insuficientes para una transacción en particular
3.1. Arbustos caducifolios tiernos de tipo 0
3.1.1 Clasificación de los arbustos caducifolios tiernos de tipo 0
Las plantas que tienden a no producir un crecimiento máximo que sea completamente resistente al invierno en ciertas partes del país pueden clasificarse como arbustos caducifolios tiernos de tipo 0. Es una práctica general podar el suelo o vivir la madera debido a la muerte parcial o total. Muchos tipos de plantas pueden tener varios grados de persistencia en los tallos leñosos en diferentes partes del país, y no se incluirían como plantas Tipo 0 en regiones donde los tallos alcanzan la madurez sin una muerte significativa cada año. En algunos casos, estas plantas se denominan «plantas perennes leñosas».
3.1.2 Especificaciones para arbustos caducifolios tiernos Tipo 0
La especificación del tamaño de la planta (crecimiento superior) puede ser por altura o extensión, lo que sea mayor, utilizando intervalos de tres pulgadas hasta 15-18 «, luego intervalos de seis pulgadas hasta 30-36», luego intervalos de un pie de 3-4 ‘y más. Es posible que las plantas no cumplan con la especificación del tamaño de la planta o el número mínimo de bastones en el momento del envío en ciertas épocas del año, pero se espera que alcancen la especificación del tamaño de la planta y el número mínimo de bastones durante la primera temporada de crecimiento después del envío. En los casos en que las plantas puedan enviarse después de ser podadas y antes de alcanzar la especificación del tamaño de la planta, las especificaciones también incluirán una extensión mínima de raíces.
Las especificaciones para arbustos caducifolios tiernos tipo 0 pueden incluir solo el tamaño del contenedor.

3.3 Arbustos caducifolios intermedios tipo
2 3.3.1 Clasificación de los arbustos caducifolios intermedios tipo 2
Plantas que típicamente maduran a una altura o se extienden desde tres pies hasta siete pies.
3.3.2 Especificaciones para arbustos caducifolios intermedios tipo


3.4 Arbustos caducifolios de tipo 3 grandes o altos
3.4.1 Clasificación de los arbustos caducifolios de tipo 3 grandes o altos Plantas que crecen hasta una altura madura superior a siete pies. 3.4.2 Especificaciones para arbustos caducifolios grandes o altos tipo 3

3.4.3 Excepción para los arbustos caducifolios tipo 3 con un hábito estrecho Los arbustos caducifolios con un hábito estrecho pueden tener significativamente menos bastones y una extensión de raíces cosechadas significativamente menor que la que se muestra en la tabla. Algunas variedades pueden ser más deseables con bastones individuales, independientemente de la altura. Ejemplos: Cornus alternifolia, Syringa vulgaris, Viburnum lentago
Sección 4: Árboles de hoja perenne coníferas
Esta sección se aplica a las plantas que generalmente se venden al comercio minorista y al paisaje. Para alinear el stock, consulte la Sección
- 4.1 Determinación del tamaño del cepellón, el recipiente o la bolsa de tela Para coníferas naturales o semi desgarradas, el tamaño del cepellón se determinará de acuerdo con las tablas de tipos de plantas apropiadas en esta Sección 4, a continuación. Para las coníferas de forma cortada, especificadas como «S» de acuerdo con la Sección 1.1.4, se aplicará el siguiente lenguaje:
Donde ha sido una práctica cultural cortar, podar, desbastar o impedir la tasa de crecimiento natural de este grupo de plantas, aparte de la poda de raíz, la medición de la pinza se utilizará para determinar el diámetro mínimo del cepellón, la clase de contenedor o el tamaño de la bolsa de tela enterrada. La medición del diámetro del tronco de las coníferas cortadas se realizará de la manera establecida en la Sección 1.2.1 – Calibrador de medición. En aquellos casos en que las ramas interfieran con la medición del calibrador, el calibrador se tomará justo arriba, y tan cerca como sea posible de la ubicación de seis o 12 pulgadas en el tronco.
4.2 Especificaciones mínimas o máximas opcionales de la pinza
Además de la altura requerida o la designación de extensión, las especificaciones pueden incluir pinzas mínimas o máximas para limitar el tamaño del cepellón, y los vendedores pueden incluir pinzas mínimas o máximas dentro de los intervalos de tamaño en el inventario y los materiales de comercialización.
4.3 Las coníferas enanas no son una clasificación separada
Las variedades enanas no se clasifican como un tipo de planta separado para los propósitos de esta sección. Deben clasificarse y especificarse de acuerdo con los tipos de plantas apropiados establecidos en esta sección, de acuerdo con el hábito natural del cultivar en particular.
4.4. Coníferas de tipo 1: rastrera o postrada
4.4.1 Clasificación de las coníferas de tipo 1
Plantas que generalmente no superan los tres pies de altura en la madurez, con propagación que aumenta con el tiempo con poco o ningún aumento de altura. Las plantas altas con hábito de llanto no deben incluirse en este tipo de planta
4.4.2 Especificaciones para coníferas tipo 1

4.5 Coníferas de tipo 2: semi-dispersión
4.5.1 Clasificación de coníferas de tipo 2
La altura será menor que la dispersión (menor que una proporción de 1: 1). La altura será al menos la mitad de la extensión de hasta 30-36 ”; la altura seguirá siendo menor que la extensión posterior, variando un poco de acuerdo con el crecimiento natural de la especie particular y el método de manejo.

4.5.2 Especificaciones para coníferas tipo 2

4.6 Coníferas de tipo 3: amplia distribución, globo y vertical compacto
4.6.1 Clasificación de coníferas de tipo 3
La extensión generalmente será igual a la altura de hasta 12-15 ”de extensión. A partir de entonces, la relación entre la altura y la extensión variará de acuerdo con el crecimiento natural de la especie en particular y el método de manejo a medida que estas plantas maduren, pero la relación altura / extensión nunca debe exceder 2: 1. Muchos tipos de dispersión amplia y globo incluidos en esta clasificación tendrán la misma o mayor extensión que la altura, incluso en los tamaños más grandes.
4.6.2 Especificaciones para coníferas de tipo 3


4.7 Coníferas de tipo 4 – tipo de cono (piramidal)
4.7.1 Clasificación de coníferas de tipo 4 La relación entre la altura y la extensión del material cultivado adecuadamente no debe ser inferior a 5: 3
4.7.2 Especificaciones para coníferas tipo 4

4.8 Coníferas de tipo 5: posición vertical amplia
4.8.1 Clasificación de las coníferas de tipo 5
Este grupo incluye los árboles de hoja perenne más amplios y verticales que desarrollan una forma recta con muchas ramas verticales o «líderes». La relación entre la altura y la extensión del material cultivado adecuadamente no debe ser inferior a 2: 1
4.8.2 Especificaciones para coníferas tipo 5


4.9 Coníferas de tipo 6 – tipo columnar
4.9.1 Clasificación de coníferas de tipo 6
Este grupo incluye las plantas de hoja perenne de crecimiento vertical que naturalmente desarrollan una forma de lados rectos o una que se estrecha ligeramente desde el suelo hasta un punto de más de la mitad de la altura. Los tipos más amplios generalmente tendrán una proporción de altura a extensión de 4 a 1. Sin embargo, muchas formas no alcanzarán esta proporción, e incluso las de hábito amplio pueden recortarse para obtener una forma más estrecha. Sin embargo, en la mayoría de los casos, la relación entre la altura y la extensión debe ser inferior a 5 a 1.

4.9.2 Especificaciones para coníferas tipo 6

Sección 5: Árboles de hoja perenne de hoja ancha
Esta sección se aplica a las plantas que generalmente se venden al comercio minorista y paisajístico. Para alinear el stock, consulte la Sección 7.
5.1 Determinación del tamaño del cepellón, el recipiente o la bolsa de tela
Para árboles de hoja perenne de hoja ancha naturales o semidesgarrados, el tamaño del cepellón se determinará de acuerdo con las tablas de tipos de plantas apropiadas en esta Sección 5, a continuación. Para las hojas perennes de hojas anchas, especificadas como “S” de acuerdo con la Sección 1.1.4, se aplicará el siguiente lenguaje: Donde ha sido una práctica cultural cortar, podar, desbarbar o impedir la tasa de crecimiento natural de este grupo de plantas , aparte de la poda de raíces, se utilizará la medición de la pinza para determinar el diámetro mínimo del cepellón, la clase de contenedor o el tamaño de la bolsa de tela. La medición del diámetro del tronco de las hojas perennes cortadas se realizará de la manera establecida en la Sección 1.2.1 – Calibrador de medición. En aquellos casos en que las ramas interfieran con la medición de la pinza, la pinza se tomará justo arriba, y tan cerca como sea posible de la ubicación de seis o 12 pulgadas en el tronco.
5.2 Especificaciones de calibrador mínimo o máximo opcionales
Además de la altura requerida o la designación de extensión, las especificaciones pueden incluir calibradores mínimos o máximos para limitar el tamaño del cepellón, y los vendedores pueden incluir calibradores mínimos o máximos dentro de los intervalos de tamaño en el inventario y los materiales de comercialización.
5.3 Árboles de hoja perenne de hoja ancha enanos no una clasificación separada
Las variedades enanas no se clasifican como un tipo de planta separado para los propósitos de esta sección. Deben clasificarse y especificarse de acuerdo con los tipos de plantas apropiados establecidos en esta sección, de acuerdo con el hábito natural del cultivar en particular.
5.4. Árboles de hoja perenne de hoja ancha tipo 1 – propagación
5.4.1 Clasificación de árboles de hoja perenne de hoja ancha tipo 1
Plantas que generalmente no superan los tres pies de altura en la madurez, con una extensión que aumenta con el tiempo con poco o ningún aumento en la altura. Las plantas altas con hábito de llorar no deben incluirse en este tipo de planta.
5.4.2 Especificaciones para árboles de hoja perenne de hoja ancha tipo 1


5.5 Árboles de hoja perenne de hoja ancha tipo 2: semi-extensión
5.5.1 Clasificación de árboles de hoja perenne de hoja ancha tipo 2
La altura será menor que la extensión (menor que una relación de 1: 1). La altura será al menos la mitad de la extensión de hasta 30-36 ”; la altura seguirá siendo menor que la extensión posterior, variando un poco de acuerdo con el crecimiento natural de la especie particular y el método de manejo.
5.5.2 Especificaciones para árboles de hoja perenne de hoja ancha tipo 2

5.6 Árboles de hoja perenne de hoja ancha de tipo 3: extensión amplia, globo y vertical compacto
5.6.1 Clasificación de árboles de hoja perenne de hoja ancha de tipo 3
La extensión generalmente será igual o ligeramente menor que la altura de hasta 12-15 ”. A partir de entonces, la extensión puede ser menor que la altura, pero en ningún caso la proporción de altura a la extensión será mayor de 2: 1 (altura más del doble de la extensión).
5.6.2 Especificaciones para árboles de hoja perenne de hoja ancha tipo 3

5.7 Árboles de hoja perenne de hoja ancha de tipo 4 – vertical
5.7.1 Clasificación de árboles de hoja perenne de hoja ancha de tipo 4
Este grupo incluye todos los árboles de hoja perenne de hoja ancha verticales de crecimiento más grande que varían considerablemente en la proporción de extensión a altura. El material bien desarrollado en la mayoría de los casos tendrá una altura igual, si no mayor, que la extensión. Sin embargo, la extensión no debe ser inferior a dos tercios de la altura (relación altura-extensión de 3: 2)
5.7.2 Especificaciones para árboles de hoja perenne de hoja ancha tipo 4


5.8 Árboles de hoja perenne de hoja ancha de tipo 5 – cono (piramidal)
5.8.1 Clasificación de árboles de hoja perenne de hoja ancha de tipo 5
Este grupo incluye todos los árboles de hoja perenne de hoja ancha de crecimiento vertical que se desarrollan naturalmente en forma cónica. Similar a las plantas Tipo 4, el material bien desarrollado tendrá una relación altura-extensión de 3: 2. Sin embargo, una mayor difusión es aceptable
5.8.2 Especificaciones para árboles de hoja perenne de hoja ancha tipo 5


5.9 Árboles de hoja perenne de hoja ancha de tipo 6 – columnares
5.9.1 Clasificación de árboles de hoja perenne de hoja ancha de tipo 6
Este grupo incluye los árboles de hoja perenne de crecimiento vertical que desarrollan naturalmente una forma de lado recto o que se estrecha ligeramente desde el suelo hasta un punto de más de la mitad de la altura. Los tipos más amplios generalmente tendrán una proporción de altura a extensión de 4 a 1. Sin embargo, muchas formas no alcanzarán esta proporción, e incluso las de hábito amplio pueden recortarse para obtener una forma más estrecha. Sin embargo, en la mayoría de los casos, la relación entre la altura y la extensión debe ser inferior a 5 a 1.
5.9.2 Especificaciones para árboles de hoja perenne de hoja ancha tipo 6

Sección 6:
Rosales
Esta sección se aplica solo a las rosas de jardín injertadas o cultivadas en campo cuando se venden con raíz desnuda, o envueltas y empaquetadas individualmente, o en contenedores. Para las rosas que crecen en sus propias raíces (sin brotes ni injertados en la raíz), vea la sección 3.1.0 – Arbustos caducifolios tipo 0.
6.1 Generalidades
Todos los grados de rosas deben tener un sistema de raíces bien desarrollado y tener un peso y calibre proporcionales según el grado y la variedad. Las rosas se clasificarán por número y calibre de las ramificaciones. Los rosales que no cumplen con estos estándares para las calificaciones individuales se definen como CULLS. Los tamaños de grado para cada clasificación son tamaños mínimos. Como se usa en los tamaños de grado a continuación, «tallo fuerte» significa una ramificación que es saludable, vigorosa y completamente desarrollada para que se endurezca al menos hasta la longitud de envío final mínima requerida.
El calibrador de los tallos se mide a no más de 4 pulgadas (10 cm) de la unión del brote o injerto. La longitud final de envío de los tallos que cumplan con el grado aplicable no puede ser inferior a 8 pulgadas (20 cm). 6.2 Té híbrido, grandiflora, floribunda y rosas trepadoras
Grado No. 1: al menos tres tallos fuertes de 5 ⁄16 pulgadas (0,8 cm) de calibre y hacia arriba, ramificados no más de 3 pulgadas (8 cm) de la unión de yemas.
Grado No. 1½ — Al menos dos tallos fuertes, de 5 ⁄16 pulgadas (0.8 cm) de calibre y hacia arriba, ramificados a no más de 3 pulgadas (8 cm) de la unión del brote.
Grado No. 2: Al menos dos tallos, uno de los cuales será un bastón fuerte, de 5 ⁄16 pulgadas (0.8 cm) de calibre y más. El segundo será de 1⁄4 de pulgada (0.6 cm) en calibrador, ramificado a no más de 3 pulgadas (8 cm) de la unión del brote.
Nota: Aunque los rosales Floribunda están incluidos en el estándar de grado anterior, debe tenerse en cuenta que los rosales Floribunda en este grupo normalmente darán como resultado la comercialización de rosales que, en promedio, son más ligeros para esta clase

6.3 Poliantha, arbusto, paisaje y rosas floribunda de bajo crecimiento
Grado No. 1 — Al menos tres tallos (fuertes) de 1 ⁄4 pulgada (0.6 cm) en calibre y hacia arriba, ramificadas a una altura no mayor de 3 pulgadas (8 cm) del brote Unión.
Grado No. 1½: al menos dos tallos (fuertes), de 1⁄4 de pulgada (0.6 cm) de calibre y hacia arriba, ramificados a una altura no mayor de 3 pulgadas (8 cm) de la unión del brote.
Grado No. 2: al menos dos tallos, uno de los cuales será un tallo (fuerte), de 1⁄4 de pulgada (0.6 cm) de calibre en adelante.

6.4 Miniaturas cultivadas en el campo
6.4.1 Miniaturas de grandes productores
Grado No. 1: al menos 2 tallos, uno de los cuales tendrá 1 ⁄4 pulgada (0.6 cm) de diámetro y el otro 9 ⁄32 pulgadas (0.7 cm) de diámetro o 5 tallos uno de los cuales tiene 1 ⁄4 pulgada (0.6 cm) de diámetro y 4 tallos más pequeños y saludables.
Grado No. 2: al menos 2 tallos, uno de los cuales tiene 1 ⁄4 pulgada (0.6 cm) de diámetro más 1 tallo saludable. 6.4.2 Miniaturas de pequeños productores
Grado No. 1 — Al menos dos tallos de 9 ⁄32 pulgadas (0.7 cm) de diámetro o 5 tallos pequeños y saludables. Grado No. 2—2 tallos sanos. 6.4.3 Sistema de raíces
Grado No.1—5 pulgadas (13 cm) o más de longitud, espaciadas 50% o más alrededor del vástago de manera equilibrada.
Grado No. 2—3 a 5 pulgadas (8-13 cm) de longitud espaciadas 50% o más alrededor del vástago de manera equilibrada.
6.5 Rosales en forma de árbol
6.5.1 Rol en forma de árbol estándar de 36 ”(91 cm)
Grado No. 1 — Altura de 36 pulgadas (91 cm) o más. El tamaño estándar de la caña medido a 3 pulgadas (8 cm) debajo de la unión del brote, debe ser de al menos 7 ⁄16 pulgadas (11 mm) de diámetro. El desarrollo del brote (cabeza) debe tener al menos dos yemas de brote y debe estar bien ramificado de manera equilibrada como se define en las secciones 5.2, 5.3 y 5.4. El tallo estándar debe ser recto ..
Grado No. 1½ — Altura 36 pulgadas (91 cm) o más. El tamaño estándar del tronco medido a 3 pulgadas (8 cm) debajo de la unión del brote, debe ser de al menos 7 ⁄16 pulgadas (11 mm) de diámetro. El desarrollo de la yema (cabeza) debe tener al menos dos ojos de yema y debe estar bien ramificado de manera equilibrada como se define en las secciones 5.2, 5.3 y 5.4 con un 70% o más de desarrollo de la cabeza. El bastón estándar debe ser recto y recto.
Grado n. ° 2: subestándar: todas los rosales en forma de árbol que no cumplen con los grados n. ° 1 o n. ° 11 1/2 descritos anteriormente se definen como subestándar.
6.5.2 Rosales árbol de patio 18 pulgadas (46 cm)
Grado No. 1 — Altura de al menos 18 pulgadas (46 cm) o más, que no exceda las 36 pulgadas (91 cm). El tamaño estándar medido a 3 pulgadas (8 cm) debajo de la unión del brote, debe tener al menos 3 ⁄8 pulgadas (10 mm) de diámetro. El desarrollo del brote (cabeza) debe tener al menos dos ojos de brote y debe estar bien ramificado de manera equilibrada como se define en las secciones 5.2, 5.3 y 5.4. El tamaño estándar del tallo debe ser vertical y recto.
Grado n. ° 2: subestándar: todas las rosas de árbol de patio no cumplen con el grado n. ° 1 se definen como subestándar. 6.5.3 Rosa de mini árbol (variedades en miniatura)
Grado No.1 — Altura de al menos 12 pulgadas (30 cm) o más, que no exceda las 18 pulgadas (46 cm). El tamaño estándar medido a 3 pulgadas (8 cm) debajo de la unión de la yema, debe ser de al menos 5 ⁄16 pulgadas (8.0 mm) de diámetro. El desarrollo del brote (cabeza) debe tener al menos dos ojos de brote y debe estar bien ramificado de manera equilibrada como se define en las secciones 5.2, 5.3 y 5.4. El tamaño estándar del tallo debe ser vertical y recto.
Grado No. 2 — Subestándar: todas las Rosas Mini-Tree que no cumplen con el Grado No. 1 se definen como Subestándar.

6.6 Rosales cultivados en contenedor
Todos las rosales cultivados en contenedor son rosales cultivadas en el campo que deben haber estado creciendo en el contenedor en el que se comercializan durante un mínimo de seis semanas de la temporada de crecimiento activa y durante un máximo de dos temporadas de crecimiento. Los rosales se pueden cortar a un mínimo de 4 pulgadas (10 cm) por encima de la unión del brote en el momento en que se colocan en macetas y deben cumplir con los grados en los que se clasifican antes de la poda en preparación para la maceta. Todos las rosales cultivados en contenedores deben venderse tanto por grado de rosal, como se especifica anteriormente, como por tamaño de contenedor, como se especifica en la Tabla 25, a continuación. Los tamaños de los contenedores deben estar de acuerdo con la tabla de clases de contenedores en la Sección 1

Sección 7: Plantas jóvenes
Esta sección se aplica a las plantas jóvenes clasificadas por altura o extensión, incluyendo el forro, las plántulas, los látigos, las coberturas del suelo y las vides que generalmente se venden para el cultivo continuo. Para las plantas subterráneas (portainjertos) generalmente clasificadas por un calibrador y vendidas para injerto o brotación, consulte la Sección 10. Para los árboles de plántulas utilizados para fines de reforestación o restauración, consulte la Sección 11. Para ver las cubiertas de suelo y las vides generalmente vendidas en contenedores # SP4 o más grandes, consulte Sección 13.
7.1 Especificaciones generales Las especificaciones para plantas jóvenes pueden incluir cualquiera o una combinación de lo siguiente: la historia cultural de la planta (ver Sección 7.1.1), la edad de la planta (ver Sección 7.1.1) o el tamaño de la planta de acuerdo con las pautas establecidas en las Secciones 7.2, 7.3 y 7.4. Sin embargo, las excepciones para las especificaciones para esquejes sin raíces y plantas micropropagadas se observan en la Sección 7.1.3 y 7.1.4, respectivamente. Las especificaciones para plantas cultivadas en contenedores, plantas cultivadas en bolsas de tela enterradas o plantas en celdas de conexión también deben incluir la clasificación de contenedores, el diámetro de la bolsa de tela o las especificaciones de la bandeja de conexión (consulte la Sección 7.6). La historia cultural o la edad de la planta no es tan importante cuando se especifica la altura o el calibre, pero puede usarse en materiales de marketing o listas de productos, y el comprador puede especificarlo.
7.1.1 Especificaciones de historia cultural
Al especificar las plantas por la historia cultural o la edad de la planta, cada tipo de propagación o código de historia cultural es seguido por el número de años aplicables al código. Si se especifica la edad, la edad de una planta joven es el total del número de años en el código de historia de la planta.
7.1.1.2 Códigos de propagación e historia cultural
Tipos de propagación
C = Corte
U = Corte sin raíz
G = Injerto
L = En capas
S = Plántula
M = Micropropagado o cultivo de tejidos
D = División Historia cultura
l R = Poda de raíz
P = Maceta o contenedor crecido
T = Trasplantado (uno por vez)
B = Lecho cultivado
O = No trasplantado Ejemplos: C1T2 (planta de 3 años: 1 año en el banco de corte, luego trasplantado una vez durante 2 años) S2T1T1 (planta de 4 años: 2 años en el lecho de plántulas, trasplantado dos veces durante un año cada vez)
G1R1 (injerto de 2 años, poda de raíz después del primer año).
M1T1 (planta de 2 años: 1 año establecido ex vitro a partir de micropropagación, luego trasplantado durante 1 año)
7.1.2 Plantas recolectadas de la naturaleza Las plantas recolectadas de la naturaleza se designarán así.
7.1.3 Definición de calidad Se supone que la calidad de todas las plantas jóvenes ofrecidas es normal para la especie o variedad a menos que se designe lo contrario.
7.1.4 Esquejes sin raíces Los esquejes sin raíces deben provenir de plantas sanas vigorosas. Deben clasificarse con una pinza de tallo, tomada en la base del corte y la longitud.
7.1.5 Plantas micropropagadas (in vitro y ex vitro) Las plantas micropropagadas enviadas desde el laboratorio pueden especificarse por etapa de crecimiento: In vitro La Etapa II es una punta de brote no enraizada, a menudo llamada «microcorte». La etapa III es una punta de brote enraizada con dos o más raíces, a menudo llamada «plántula enraizada». Ex vitro Después de la aclimatación y el establecimiento en medios (mezcla sin suelo), las plantas micropropagadas se especificarán de acuerdo con la subsección correspondiente en la sección Plantas jóvenes. Estas plantas generalmente se establecen en macetas pequeñas o células enchufables.
7.1.6 Poda La parte superior o las raíces no se podarán a menos que el productor lo especifique o el comprador lo solicite.
7.2 Método de medición
La medición de altura es desde el nivel del suelo hasta las puntas de crecimiento. La extensión es el diámetro promedio del crecimiento superior.
7.3 Intervalos de dimensionamiento
7.3.1 Cultivador lento (enano y semi-enano)
Use 2 pulg. intervalos de hasta 12 pulg.
Use 3 pulg. intervalos de 12 pulgadas arriba. Ejemplos: Baptisia australis, Berberis thunbergii var. atropurpureum ‘Crimson Pygmy,’ Picea abies ‘Pygmaea,’ Sedum
7.3.2 Cultivador mediano
Uso en 3 pulg. intervalos. Ejemplos: Achillea x «Oro de coronación», Rhododendron molle (Azalea mollis), Prunus laurocerasus «Zabeliana», Hedera helix
7.3.3 Cultivador rápido
Use 6 pulg. intervalos. Ejemplos: Acer rubrum, Betula pendula, Cytisus ‘Burkwoodii’, Forsythia, Pinus (excepto los tipos enanos)
7.4 Tipos de plantas
Usando el intervalo de medición apropiado que se muestra en la Sección 7.3, arriba, mida las plantas de acuerdo con la sección de tipo de planta apropiada, a continuación.
7.4.1 Tipo 1 – Sin tallos
La medición designa la plenitud, la extensión, el desarrollo de la raíz o la longitud de un lado o el diámetro del contenedor si la planta llena sustancialmente la superficie del suelo en el contenedor. Ejemplos: Ajuga reptans, Festuca ovina var. glauca, Miscanthus sinensis, Sagina subulata, Sedum
7.4.2 Tipo 2 – Tallo único
7.4.2.1 La medida de extensión designa la extensión (altura no considerada). Ejemplos: Ceanothus gloriosus, Cotoneaster dammeri, Erica carnea, Juniperus horizontalis ‘Wiltonii,’ Mahonia nervosa, Thymus
7.4.2.2 La medición semi-extendida designa la altura.
La altura generalmente será igual a la extensión. Ejemplos: Aquilegia, Ilex crenata ‘Helleri,’ Juniperus chinensis ‘Pfitzerana’, Lavandula
7.4.2.3 La medición del globo designa la altura.
Ejemplos: Berberis thunbergii ‘Crimson Pygmy,’ Deutzia gracilis, Thuja occidentalis ‘Little Gem,’ Teucrium
7.4.2.4 Medida en posición vertical
La altura designada. La altura generalmente será el doble de la extensión. Ejemplos: Crisantemo, Ilex crenata «Rotundifolia», Mahonia aquifolium, Pieris japonica, Rododendro (híbrido Kurume) «Hinodegiri»
7.4.2.5 Medición vertical designa la altura.
Ejemplos: Acer palmatum, Achillea, Anémona, Betula papyrifera, Myrica californica, Pseudotsuga menziesii
7.4.3 Tipo 3: la medición estolonífera designa la plenitud o el número de estolones
. Ejemplos: Gaultheria procumbens, Houttuynia cordata, Pachysandra terminalis, Vinca minor
7.4.4 Tipo 4: raíces rizomatosas, tuberosas o fibrosas
La medición designa el número de divisiones oculares. Vea la Sección 13 para las plantas que generalmente se venden en contenedores más grandes que # SP4. Ejemplos: peonías, corazón sangrante, cannas, dalias, hosta
7.4.5 Tipo 5 – Medición de brotes designa el número de brotes (vástagos).
El grado de revestimiento generalmente tiene un solo brote o vástago. Vea la Sección 13 para las plantas que generalmente se venden en contenedores más grandes que # SP4. Ejemplos: Daylily, Iris
7.4.6 Tipo 6 – Bulbos, cormos Vea la Sección 12.
7.4.7 Tipo 7 – La medición de las vides designa la longitud y / o el número de ramificaciones, y / o el tamaño del contenedor. Ejemplos: Clematis, Hedera helix, Parthenocissus tricuspidata ‘Veitchii,’ Vitis, Wisteria
7.4.8 Plantación de coníferas y plantas de reforestación
Los revestimientos de coníferas para la plantación de árboles de Navidad y los usos de reforestación se clasifican solo por altura, a menos que también se especifique el calibrador. Cuando se especifica el calibrador, es por intervalos milimétricos: 1 mm, 2 mm, 3 mm, 4 mm, 6 mm. Consulte la Sección 11.
7.5 Sin clasificación
Cualquier planta joven que no cumpla con las especificaciones anteriores debe etiquetarse como «Sin clasificar».
7.6 Plantas vendidas en contenedores, bolsas de tela enterradas y celdas de enchufe
Las especificaciones para plantas jóvenes vendidas en contenedores deben incluir el tamaño de la planta (altura o extensión según sea apropiado para el tipo de planta en la Sección 7.4, arriba) y la clase de contenedor. Las clases de contenedores deben estar de acuerdo con las de la Tabla 1 en la Sección 1.1.3.1. Las especificaciones para plantas jóvenes que se venden en bolsas de tela enterradas deben incluir el tamaño de la planta (altura o extensión según sea apropiado para el tipo de planta en la Sección 7.4, arriba) y el diámetro de la bolsa de tela, más típicamente de 5 pulgadas u 8 pulgadas de diámetro. Los tamaños de las bolsas de tela deben coincidir con los de la Tabla 2 en la Sección 1.8.
7.6.1. Especificaciones de la celda de conexión
Una bandeja de conexión es una hoja continua con celdas de conexión que no son desmontables. Las especificaciones deben incluir el número de celdas de enchufe por bandeja y el tamaño de celda. Ejemplos: 72 – 19 ⁄10 «x 23 ⁄16» celdas 200 – 1 «x 11 ⁄2» celdas 648 – 7 ⁄16 «x 1 ⁄2» celdas
Sección 8: Árboles frutales
Esta sección se aplica solo a los árboles frutales vendidos a huertos u operaciones de cultivo. Para los árboles frutales vendidos al por menor o al comercio paisajístico para reventa o instalación, generalmente clasificados como árboles pequeños de propagación Tipo 4, consulte la Sección 2.
8.1 Especificaciones generales
8.1.1 Requisitos mínimos
Todos los árboles frutales deberán ser saludables, con copas de buena calidad (es decir , color de hoja apropiado para el cultivar y sin daño aparente), vigoroso y bien enraizado (excepto los esquejes no enraizados), con un crecimiento normal para la especie o variedad (p. ej., troncos razonablemente rectos según el hábito de crecimiento), a menos que se especifique lo contrario. Todos los árboles frutales de 5 ⁄16 pulgadas y más grandes deben estar ramificados, excepto el cerezo dulce de un año. Los tamaños de 5 ⁄8 pulgadas, 3 ⁄4 pulgadas y 1 pulgada deben tener tres o más ramas. Los árboles frutales cultivados en contenedores se especificarán por tamaño de planta (altura o calibrador) y tamaño de contenedor. Los tamaños de los contenedores deben estar de acuerdo con la Tabla 1 en la Sección 1.1.3.1
8.1.2 Especificaciones de historia cultural
Al especificar las plantas por la historia cultural o la edad de la planta, cada tipo de propagación o código de historia cultural es seguido por el número de años aplicables al código. Si se especifica la edad, la edad de una planta joven es el total del número de años en el código de historia de la planta. Las especificaciones que incluyen especificaciones de historia cultural deben usar los siguientes códigos de letras:
Tipos de propagación
C = Corte U
= Corte sin raíz
G = Injerto
L = En capas
S = Plántula
M = Micropropagado o cultivo de tejido
D = División Historia cultural
R = Poda de raíz
P = Maceta o cultivo en contenedor
T = Trasplantado (uno por vez)
B = Cultivo en lecho
O = No trasplantado Ejemplos: C1T2 (planta de 3 años: 1 año en el banco de corte, luego trasplantado una vez durante 2 años) S2T1T1 (planta de 4 años: 2 años en el lecho de plántulas, trasplantado dos veces durante un año cada vez)
G1R1 (injerto de 2 años, poda de raíz después del primer año).
M1T1 (planta de 2 años: 1 año establecido ex vitro a partir de micropropagación, luego trasplantado durante 1 año)
8.1.2.1 Esquejes sin raíces
Los esquejes sin raíces deben ser de crecimiento vigoroso y pueden clasificarse por calibrador y longitud
8.1.2.2 Plantas micropropagadas (in vitro y ex vitro) in vitro
Las plantas micropropagadas in vitro se clasificarán por longitud. También pueden designarse como etapa II. Si las plantas se venden desde la etapa II, deben designarse con raíces o sin raíces. Ex vitro Después de enraizar, se clasificarán en la Sección 7 – Plantas jóvenes.
8.1.3 Especificación de edad
La edad puede especificarse como un año, dos años, etc.
8.2 Medición de calibre y altura
Excepto para plantas propagadas vegetativamente o micropropagadas (ver sección 8.5.3) y cítricos en flor (ver sección 8.6), el calibrador debe tomarse del collar, y la pinza tendrá prioridad. La medición de altura debe tomarse del collar. Las medidas de altura indicadas en las tablas de esta sección están destinadas a representar la altura promedio de la mayoría de las variedades. Los tipos de crecimiento lento pueden no cumplir con las medidas de altura indicadas. Se reconoce que en el vivero se puede practicar «brotación elevada» para permitir la siembra profunda para el anclaje de los árboles, la resistencia del tronco, etc. Sin embargo, en todos los casos, se tomarán medidas de altura desde el cuello de la raíz
8.3 Relaciones altura-calibre
Las tablas en esta sección indican relaciones típicas altura-calibre para árboles frutales. Excepciones: La siguiente relación altura-calibrador no se considerará aplicable en el caso de variedades clasificadas como mutantes genéticos. Cada una de estas variedades se dimensionará de acuerdo con las características varietales. Ejemplos: melocotón enano «Bonanza», nectarina enana «Sunburst»


8.4 Embalado y procesado
Un árbol frutal embalado procesado es una raíz desnuda excavada, mientras está inactiva, y un medio de crecimiento se forma mecánicamente en una bola alrededor de las raíces. Las especificaciones mínimas de tamaño de bola para árboles frutales enanos y estándar “ballados procesados” se presentan en la siguiente Tabla 29.

8.5 Plántulas y siembra de árboles frutales
8.5.1 Plántulas con ramas
En el caso de las plántulas con ramas, debe haber al menos 2 pulgadas (5 cm) por encima del collar sin ramas durante un mínimo de la mitad de la circunferencia de la plántula
8.5.2 Plántulas de manzana y pera
En el caso de las plántulas de manzana y pera, donde la descripción de la raíz se da como ramificada o recta, se aplicará lo siguiente: Raíz ramificada: no menos de tres ramas de raíz deben estar presentes dentro de 5 pulgadas (12.5 cm) del collar Raíz recta: la raíz debe llevar el calibre mínimo de la pendiente por no menos de 6 pulgadas (15 cm) debajo del collar.
8.5.3 Caldo inferior de fruta propagado vegetativamente o micropropagado
En el caso de caldo inferior de fruta cultivado a partir de “C”, “L” o “M” (ver Sección 8.1.2), el calibrador se tomará en el corte o capa original en un punto 10 pulgadas (25 cm) por encima del collar.
8.5.3.1 Se requiere la especificación del sistema de raíces.
Todas las formas de portainjertos de frutas propagadas vegetativamente deben tener un mínimo de cuatro raicillas en cada corte o capa. Ejemplos: Malling Merton Nos. 111, 106, M-7A, M-9, M-26, manzana M-27, Prunus «Mariana» y Prunus cerasifera (P. myrobalana). Excepción: los portainjertos que no cumplan con las especificaciones anteriores para los sistemas de raíz se etiquetarán como grado «no clasificado» y se especificarán los números mínimos de raicillas.
8.6 Cítricos
Las existencias de cítricos deben clasificarse en incrementos de 1 ⁄8 pulgada, comenzando con un calibre mínimo de 3 ⁄8 pulgada hasta el tamaño de 3 ⁄4 pulgada. Las calificaciones reconocidas de más de 3 ⁄4 de pulgada deberán estar en incrementos de 1 ⁄4 de pulgada. La edad se debe dar en años. La pinza se debe tomar 1 ⁄2 pulgada (1.5 cm) por encima de la unión del brote. El tamaño mínimo debe ser de 3 ⁄8 pulgadas (1 cm), excepto que los árboles de mandarina, mandarina o tilo se pueden vender en calibres de 5 ⁄16 pulgadas (8 cm).
8.7 Nomenclatura de comercialización
Las siguientes tablas indican la nomenclatura de comercialización aprobada para portainjertos, interstems y combinaciones de portainjerto / vástago específicos. Toda la literatura de ventas y reclamos de tamaño deben basarse en estas tablas.

Bud.9 = Budagovsky 9 Bud 118 = Budagovsky 118 C = Charles Day EMLA = East Malling Lansing G = Ginebra MARK = Mac 9 MM.106 = Malling-Merton 106 Ott.3 = Ottawa 3 P.22 = Polaco 22 La tabla anterior 30 ilustra el enanismo relativo inducido a una variedad fructífera por el proceso de injerto en un portainjerto en comparación con la misma variedad injertada en un portainjerto de tamaño estándar


Sección 9: Frutos pequeños
Esta sección se aplica a las plantas que dan frutos pequeños.
9.1 Especificaciones generales
9.1.1 Definiciones de calidad
Se supone que la calidad de los frutos pequeños es normal para la especie o variedad, a menos que se indique lo contrario. Todas las plantas frutales pequeñas deberán estar bien enraizadas. No se incluirán plantas lesionadas, atrofiadas o de formas extrañas en ningún grado.
9.1.2 Códigos de propagación e historia cultural
Tipos de propagación
C = Corte
U = Corte sin raíz
G = Injerto
L = En capas
S = Plántula
M = Micropropagado o cultivo de tejidos
D = División Historia cultural
R = Poda de raíz
P = Maceta o contenedor cultivado
T = Trasplantado (uno por vez)
B = Cultivo en lecho
O = No trasplantado
9.1.2.1 Esquejes sin raíz
Los esquejes sin raíz deben ser de crecimiento vigoroso y pueden clasificarse por calibrador y longitud. Ejemplos: grosellas, arándanos.
9.1.2.2 Plantas micropropagadas (in vitro y ex vitro) in vitro
Las plantas micropropagadas in vitro se clasificarán por longitud. También pueden designarse como etapa II. Si las plantas se venden desde la etapa II, deben designarse con raíces o sin raíces. Ex vitro Después de enraizar, se clasificarán en la sección 6, Normas de plantas jóvenes. 9.2 Método de medición
9.2.1.1 Plantas de corte de raíz y lechón
Grado No. 1 — Las plantas de corte de raíz y lechón, también las plantas de punta, deben clasificarse de 3⁄16 de pulgada y más en calibre en el collar; las plantas de bombeo deben tener 10 pulgadas o más de techo vivo; plantas de punta, 8 pulgadas o más cimas vivas; y bien enraizado con al menos una raíz cruzada debajo de la corona, es decir, raíz (s) «L» o «T».
Grado n. ° 2: plantas de corte de lechones y raíces, también plantas de punta, calibre de 1⁄8 de pulgada o más en el cuello; plantas de corte de retoños y raíces para tener 8 pulgadas o más de superficie viva; inclina las plantas, 6 pulgadas o más de cimas vivas, y todas proporcionalmente bien enraizadas.
9.2.2 Frambuesas trasplantadas
Grado No. 1: todas las frambuesas trasplantadas deben calibrar 1⁄4 de pulgada y más en el cuello y tener 12 pulgadas o más de parte superior viva, y estar bien enraizadas.
Grado No. 2 — El número dos deberá calibrar 3⁄16 de pulgada y más con 12 pulgadas o más de parte superior viva, y estará bien enraizado con al menos una raíz cruzada debajo de la corona, es decir, raíz (s) «L» o «T»
. 9.2.3 Moras árticas, moras, moras, moras jóvenes
9.2.3.1 Esquejes de raíz
Grado No. 1 — Los esquejes de raíz deben calibrar 1⁄8 de pulgada y las plantas de lechón deben calibrar 3⁄16 de pulgada y más en el collar y tener 12 pulgadas o más de parte superior viva y estar bien enraizado.
Grado n. ° 2: los esquejes de raíz deben calibrar a 3⁄32 de pulgada o más y las plantas de retoños deben calibrar a 1⁄8 de pulgada y más en el cuello y tener 8 pulgadas o más de parte superior viva, y estar proporcionalmente bien enraizadas.
9.2.4 Zarzamoras trasplantadas
Grado No. 1: debe calibrar 1⁄4 de pulgada o más en el cuello y tener 12 pulgadas o más de parte superior viva y estar bien enraizadas.
9.2.5 Grosellas
Grado 2 Año. No. 1: medirá 12 pulgadas y más de altura, con dos o más ramas, y estará bien enraizado.
Grado 1 año No. 1: medirá 9 pulgadas y más de altura; si son plantas de una sola caña, deben tener 12 pulgadas de alto y estar bien enraizadas.
Grado 2 año No. 2: las mismas especificaciones que 1 año. No. 1
. 9.2.6 Arándanos
Todas las medidas para indicar la altura total de la planta desde la corona hasta la punta de las plantas. Todo bien ramificado en proporción a la altura. Para fines de simplicidad, solo se enumerará un tamaño por “grado”. Ese tamaño será el tamaño mínimo permitido para ese «grado» e incluirá plantas desde ese tamaño hasta, pero sin incluir, el siguiente tamaño de grado más grande.
Cortes enraizados de 1 año
3 pulg. 2 años
9 pulg. 3 años
12 pulg. 4 años
18 pulg. 1 año
9.2.7 Grosellas espinosas
Grado 2 Año. No. 1: medirá 12 pulgadas y más de altura, con tres o más bastones, o ramas laterales equivalentes, y estará bien enraizado.
Grado 1 año No. 1: medirá 8 pulgadas y más de altura, con dos o más ramas, o ramas laterales equivalentes, y estará bien enraizado.
Grado 2 año No. 2: las mismas especificaciones que 1 año. No. 1

9.2.8 Vides de uva
La clasificación de las vides de uva se basa principalmente en el sistema de raíces.
Grado 2 año No. 1: las variedades de crecimiento más ligero deben tener 12 pulgadas o más de superficie viva; Las variedades de crecimiento más fuertes deben ser proporcionalmente más grandes y todas bien enraizadas.
Grado 1 año No. 1: los productores más ligeros deben tener 6 pulgadas o más de techo vivo; Los productores más fuertes deben ser proporcionalmente más grandes y todos deben estar bien enraizados.
Grado 2 año No. 2: las mismas especificaciones que 1 año. No. 1
9.2.9 Plantas de fresa
Grado mínimo: debe haber al menos 10 raíces principales, no menos de 3 pulgadas de largo, y un diámetro mínimo de corona de 5⁄16 pulgadas medido en la base.
9.2.10 Coronas de espárragos
1 año. No. 1: no pesará menos de 60 libras por mil (1000) plantas. El cincuenta por ciento del sistema raíz deberá exceder las 5 pulgadas de largo.
2 años No. 1: no pesará menos de 120 libras por 1000 plantas. El cincuenta por ciento del sistema raíz deberá exceder las 7 pulgadas de largo. 2 años No. 2: no pesará menos de 60 libras por 1000 plantas. El cincuenta por ciento del sistema raíz deberá exceder las 5 pulgadas de largo.
3 y 4 años No. 1: no pesará menos de 200 libras por 1000 plantas. El cincuenta por ciento del sistema raíz deberá exceder las 10 pulgadas de largo.
9.3 Cultivo en contenedores
Todas las frutas pequeñas cultivadas en contenedores que se venden en contenedores se clasificarán por tamaño de planta (altura o extensión designada) o calibrador, y tamaño de contenedor. Los tamaños de los contenedores deben estar de acuerdo con la Tabla 1 en la Sección 1.1.3.1
Sección 10: Caldo inferior
Esta sección es para cubrir plantas (principalmente árboles de sombra, floración, frutales y nueces) especificadas por la historia cultural o el calibre generalmente utilizado como portainjerto para injertos y brotes. Para las plantas clasificadas por altura, vea la Sección 7 – Plantas jóvenes.
10.1 Definición de calidad
Se supone que la calidad de todas las existencias insuficientes ofrecidas es normal para la especie o variedad, a menos que se indique lo contrario. Es esencial que el tallo sea razonablemente recto. Las partes superiores o raíces se pueden recortar según lo especificado por el productor o solicitado por el comprador. Los árboles de hoja perenne se deben trasplantar con la frecuencia suficiente para crear un buen sistema de raíces. Para producir un sistema de raíces fibrosas, las especies como abetos, pinos y similares, que normalmente producen unas pocas raíces gruesas, deben trasplantarse cada dos años, y especies como Arborvitae deben trasplantarse cada tres años, ya que naturalmente Hacer mejores raíces. Las especies de hoja perenne de hoja ancha como Pyracantha coccinea «Lalandei», que normalmente producen algunas raíces gruesas, deben ser trasplantadas cada año, mientras que las que producen un buen sistema de raíces fibrosas pueden ser trasplantadas cada dos años.
10.1.1 Especificaciones de historia cultural
Al especificar las plantas por la historia cultural o la edad de la planta, cada tipo de propagación o código de historia cultural es seguido por el número de años aplicables al código. Si se especifica la edad, la edad de una planta joven es el total del número de años en el código de historia de la planta. Las especificaciones que incluyen especificaciones de historia cultural deben usar los siguientes códigos de letras:
Tipos de propagación C = Corte U = Corte sin raíz L = En capas S = Plántula M = Micropropagado o cultivo de tejido D = División Historia cultural R = Poda de raíz P = Maceta o contenedor cultivado T = Trasplantado (uno por vez) B = Cultivo en lecho O = No trasplantado Ejemplos: C1T2 (planta de 3 años: 1 año en el banco de corte, luego trasplantado una vez durante 2 años) S2T1T1 (planta de 4 años: 2 años en la plántula cama, trasplantado dos veces durante un año cada vez) G1R1 (injerto de 2 años, poda de raíz después del primer año). M1T1 (planta de 2 años: 1 año establecido ex vitro a partir de micropropagación, luego trasplantado durante 1 año
10.1.1.1 Esquejes sin raíz
Los esquejes sin raíz deben ser de crecimiento vigoroso y pueden clasificarse con una pinza, tomada en la base del corte y la longitud.
10.2 Método de medición
La pinza se tomará en el cuello o en la línea de tierra a menos que el comprador especifique la altura, quien deberá indicar si solo quiere altura o altura y pinza. La edad no es importante cuando se especifica el calibrador; sin embargo, puede ser solicitado por el comprador
10.2.1 Especificación de medición 1⁄16 pulg. (1,5 mm) 1⁄8 pulg. (3 mm) 3⁄16 pulg. (5 mm) 1⁄4 pulg. (7 mm) 3⁄8 pulg. (10 mm) 1⁄2 pulg. (1,5 cm. 5⁄8 pulg. (1,6 cm) 3⁄4 pulg. (2 cm) 1 pulg. (2,5 cm)
10.3 Tipos de plantas
10.3.1 Plántulas de frutos y nueces: material propagado por semillas
Excepción : 3⁄16 de pulgada “recta” de plántulas de manzana se clasificarán desde 3⁄16 de pulgada (5.0 mm) hasta un calibre de 3⁄8 de pulgada (1.0 cm) pero sin incluir
10.3.1.1 Plántulas con ramas. sin ramas en un lado de la plántula por al menos 2 pulgadas por encima del collar para asegurar un área de brotación o injerto
10.3.1.2 Descripciones de raíz
En el caso de plántulas de manzana y pera, donde la descripción de la raíz se da como ramificada o recta, lo siguiente se aplicará: Raíz ramificada: No menos de tres ramas de raíz deberán estar presentes con 5 pulgadas (13 cm). Raíz recta: La raíz deberá llevar el calibre mínimo del grado por no menos de 15 cm (6 pulgadas) del collar. 10.3.2 Planta de propagación vegetativa s
10.3.2.1 De la estratificación
El calibrador del vástago se tomará 10 pulgadas por encima del fondo de la capa (corte basal). Raíces: un mínimo de 3 nodos raíz, cada nodo contiene al menos 1 raíz.
10.3.2.2. Esquejes de madera dura
En los esquejes originales de madera dura, la pinza se toma en la parte superior del corte. En esquejes con un nuevo crecimiento por encima del corte de madera dura original, el calibre y la longitud se toman dos pulgadas hacia arriba en el nuevo crecimiento
10.3.2.3 Esquejes de madera blanda
La pinza se tomará en el cuello o en la línea de tierra.
10.3.2.4 Plantas micropropagadas (in vitro y ex vitro) in vitro
Las plantas micropropagadas in vitro se clasificarán por longitud. También pueden designarse como etapa II. Si las plantas se venden desde la etapa II, deben designarse con raíces o sin raíces. Ex vitro Después de enraizar, se clasificarán de acuerdo con la Sección 7 – Plantas jóvenes.
10.3.3 Sin clasificación
Cualquier portainjertos que no cumpla con las especificaciones anteriores debe etiquetarse como «sin clasificar».
10.4 Plantas de hoja perenne: existencias: recomendaciones
Las plantas de hoja perenne se deben trasplantar con la frecuencia suficiente para crear un buen sistema radicular, lo que garantizará un mínimo de pérdida de trasplante y para dar el espacio suficiente para comenzar el marco de la rama correctamente, haciendo una muestra bien formada cuando colocado en la fila de la guardería. Para producir un sistema de raíces fibrosas, las especies como Abies, Pinus y otros tipos similares, que normalmente producen unas pocas raíces gruesas, deben trasplantarse cada dos o tres años, y especies como Arborvitae y Chamaecyparis deben trasplantarse cada tres cuatro años, ya que naturalmente hacen mejores raíces. Las especies de hoja perenne de hoja ancha como Pyracantha coccinea «Lalandei», que normalmente producen algunas raíces gruesas, deben ser trasplantadas cada año, mientras que las que producen un buen sistema de raíces fibrosas pueden ser trasplantadas solo cada dos años. El recorte también es necesario para garantizar una base adecuada para una buena forma en la planta terminada, aunque el trasplante frecuente generalmente evitará la necesidad de un recorte severo.
10.5 Plántulas de sombra y árboles florecientes
El calibrador se tomará en el cuello o en la línea de tierra y los grados corresponderán a los siguientes calibradores: 1⁄16 pulg. 1⁄8 pulg. 1⁄4 pulg. 3⁄32 pulg. 3⁄16 pulg. 3⁄8 pulg. 10.6 Calzoncillos cultivados en contenedores Las especificaciones para calzoncillos vendidos en contenedores deben incluir una pinza (excepto los planos micropropagados, ver sección 10.3.2.4) y la clase de contenedor. Las clases de contenedores deben estar de acuerdo con las de la Tabla 1 en la Sección 1.1.3.1
10.7 Plántulas cultivados en bolsas de tela enterradas
Las especificaciones para las existencias inferiores vendidas en bolsas de tela enterradas deben incluir una pinza (excepto las plantas micropropagadas, ver sección 10.3.2.4) y el diámetro de la bolsa de tela. Las pinzas suelen oscilar entre ¼ de pulgada y ¾ de pulgada, y las bolsas de tela suelen tener un diámetro de 5 pulgadas u 8 pulgadas. Los diámetros de las bolsas de tela deben coincidir con los de la Tabla 2 en la Sección 1.8.
Sección 11: Plántulas de árboles y arbustos
Esta sección es para cubrir plantas utilizadas para bosques, refugios de caza, control de erosión, restauración, cinturones de protección o plantaciones de lotes de bosque clasificados por historia cultural, calibre o altura.
11.1 Definición de calidad
Se supone que la calidad de todos los árboles y arbustos de plántulas es normal para la especie o variedad, a menos que se indique lo contrario. Todas las plantas deben haber desarrollado sistemas de raíces, estar libres de insectos y enfermedades, así como lesiones mecánicas, y en todos los aspectos, ser adecuadas para la siembra en el campo. Todas las coníferas deberán tener brotes latentes (excepto en el sur) y agujas secundarias. A opción del comprador, se pueden especificar otras restricciones especiales. Las partes superiores o raíces no se recortarán a menos que lo especifique el productor o lo solicite el comprador.
11.1.1 Especificaciones de historia cultural
Tipos C = Corte U = Corte sin raíz G = Injerto L = En capas S = Plántula M = Micropropagado o cultivo de tejidos D = División Cultural R = Poda de raíz P = Maceta o contenedor cultivado T = Trasplantado (uno por vez ) B = Cultivo en lecho O = No trasplantado Coll. = Las plantas recolectadas del medio silvestre se designarán así. Edad = Suma de números siguiendo los códigos anteriores. Ejemplo: S2T1T1 (planta de 4 años, 2 años en lecho de plántulas, trasplantado dos veces, un año cada trasplante).
11.2 Método de medición
La edad no es importante cuando se especifica la altura o la pinza; sin embargo, puede ser utilizado en listados o exigido por el comprador. Cuando el calibrador es importante, las mediciones se toman en el collar de raíz o en la línea de tierra.
11.2.1. Madera de hoja caduca o dura
Cuando las alturas deben gobernar, la especificación de la pinza es mínima, y cuando la pinza debe gobernar, la especificación de altura es mínima.

11.4 Plántulas cultivadas en bolsas de tela enterradas
Las especificaciones para las plántulas que se venden en bolsas de tela enterradas deben incluir la altura o el calibre, según sea apropiado para el tipo de planta, y el diámetro de la bolsa de tela. La altura generalmente oscilará entre unas pocas pulgadas y 5 pies, las pinzas generalmente oscilarán entre ¼ de pulgada y ¾ de pulgada, y las bolsas de tela serán típicamente de 5 pulgadas u 8 pulgadas de diámetro. Los diámetros de las bolsas de tela deben coincidir con los de la Tabla 2 en la Sección 1.8
Sección 12: Bulbos, cormos y tubérculos
12.1 Especificaciones generales
Los bulbos y cormos generalmente se venden bajo nombres de grado como «tamaño forzado», «tamaño superior», «grande», etc. En el caso de narcisos y narcisos, las designaciones de «nariz doble» para indicar un bulbo partido y «redondo». Con algunos grupos, como los jacintos, los nombres de los grados indican el uso; por ejemplo, tamaños de «exposición» y «forzado», y tamaños más adecuados para ropa de cama al aire libre. En los niveles de productor y mayorista, donde la información de tamaño más precisa es imprescindible, el tamaño real en pulgadas o centímetros ha sido estándar en el comercio. Con la necesidad de uniformidad internacional, las designaciones de tamaño en la mayoría de los casos se expresarán en centímetros de circunferencia.
En algunos casos, este tipo de medición no es factible (por ejemplo, narcisos, peonías, caladios, etc.), y se utiliza otro criterio (por ejemplo, peso).
12.2 Amarilis
Designada por centímetros o pulgadas de circunferencia. Jumbo 36 cm. y más (14 ¼ in. y más) Exposición 32 cm. (12 ¾ in.) Fantasía 30 cm. (12 pulg.) Grande 26 cm. (10 ¼ pulg.) Mediano 22 cm. (8 ¾ in.) Pequeño 20 cm. (8 pulg.)
12.3 Anémonas
Designado por centímetros o pulgadas de diámetro. Extra grande de 7 cm. (2 ¾ in. Y arriba) Grande 6 cm. (2 ½ pulg.) Mediano 5 cm. (2 pulg.) Pequeño 4 cm. (1 ½ pulg.)
12.4 Begonias (tuberosas)
Designadas por centímetros o pulgadas de diámetro. Gigante de 6 cm. y más (2 ½ pulg. y más) Extra grande de 5 cm. (2 pulg.) Grande 4 cm. (1 ½ pulg.) Mediano 3 cm. (1 ¼ pulg.) Pequeño 2 cm. (¾ pulg.)
12.5 Caladios
Designado por centímetros o pulgadas de diámetro. Gigante 8 cm. y más (3 pulg. y más) Grande 6 cm. (2 ½ pulg.) Estándar 5 cm. (2 pulg.) Mediano 4 cm. (1 ½ pulg.) Pequeño 2 cm. (¾ pulg.)
12.6 Callas
Designado por centímetros o pulgadas de diámetro. Top 19 cm. y más (7 ½ pulg. y más) Grande 5 cm. (2 pulg.) Mediano 4 cm. (1 ½ pulg.) Pequeño 3 cm. (1 ¼ pulg.)
12.7 Cannas
Número de «ojos» o «yemas» por raíz a indicar. Cualquier raíz con menos de 2 «ojos» no debe ofrecerse al público, pero puede ser adecuada para crecer en el vivero, o para macetas o ropa de cama.
12.8 Crocosmia
Designada por centímetros o pulgadas de circunferencia. Grande 10 cm. y más (4 pulg. y más) Mediano 6 – 8 cm. (2 ½ – 3 pulg.)
12.9 Azafrán
Designada por centímetros o pulgadas de circunferencia. Top 9 cm. y más (3 ½ pulg. y más) Grande 8 cm. (3 pulg.) Mediano 7 cm. (2 ¾ in.) Pequeño 6 cm. (2 ½ pulg.)
12.10 Dalias
Designado por peso en gramos. Cada división tendrá una porción de corona viva y al menos 1 «ojo» o «brote». No. 1 100 gramos (o más) No. 2 80 gramos
12.11 Fresias
Designada por centímetros o pulgadas de diámetro. Extra grande de 7 cm. (2 ¾ in. Y arriba) Grande 6 cm. (2 ½ pulg.) Mediano 5 cm. (2 pulg.) Pequeño 4 cm. (1 ½ pulg.)
12.12 Gladiolo
Designado por centímetros o pulgadas de circunferencia. Jumbo 14 cm. y más (5 ½ pulg. y más) Grande No. 1 12 cm. (4 ¾ in.) Grande No. 2 10 cm. (4 pulg.) Mediano No. 3 8 cm. (3 pulg.) Mediano No. 4 6 cm. (2 ½ in.) Pequeño No. 5 4 cm. (1 ½ pulg.) Pequeño No. 6 3 cm. (1 ¼ pulg.) Sin grado / No. 7 Menos de 3 cm. (Menos de 1 ¼ pulg.)
12.13 Gloxinia (tuberosa)
Designada por centímetros o pulgadas de diámetro. Gigante de 6 cm. y más (2 ½ pulg. y más) Extra grande de 5 cm. (2 pulg.) Grande 4 cm. (1 ½ pulg.) Mediano 3 cm. (1 ¼ pulg.) Pequeño 2 cm. (¾ in.)
12.14 Jacintos
Designado por centímetros o pulgadas de circunferencia. Forzado superior 19 cm. y más (7 ½ pulg. y más) Gran fuerza de 18 cm. (7 pulg.) Fuerza media 17 cm. (6 ¾ in.) Ropa de cama superior de 16 cm. (6 3 ⁄8 pulg.) Ropa de cama grande de 15 cm. (6 in.) Ropa de cama mediana 14 cm. (5 ½ pulg.)
12.15 Iris:
iris holandés Designado por centímetros o pulgadas de circunferencia. Grandes variedades de bulbo como «Wedgewood», «Ideal», «Prof. Blaauw «y» Blue Magic «: los 10 cm superiores. y más (4 pulg. y más) Grande 9 cm. (3 ½ pulg.) Mediano 8 cm. (3 pulg.) Variedades de bulbo más pequeñas, como «Excelsior», «White Van Vlict», «Imperator», «Golden Harvest», «H.C. Van Vlict «y» White Perfection «: 8 cm superiores. y más (3 pulg. y más) Grande 7 cm. (2 ¾ pulg.) Mediano 6 cm. (2 ½ pulg.)
12.16 Liatris
Designada por centímetros o pulgadas de circunferencia. No. 1 Tamaño de floración 10 cm. y más (4 pulg. y más) No. 2 Tamaño del forro 8 cm. (3 pulg.)
12.17 Lirios
Designado por centímetros o pulgadas de circunferencia. Varias especies de lirios producen bulbos de diferentes tamaños. Estos generalmente se dividen en dos grupos: las especies de bulbo grande como «Regal» y «Pascua»; y las especies de bulbo más pequeñas como «Tigrinum», «Umbellatum» y «Midcentury». Especies de bulbo grande Especies de bulbo más pequeño 24 cm. (9 ½ pulg.) 18 cm. (7 in. Y más) 22 cm. (8 ¾ pulg.) 16 cm. (6 3 ⁄8 pulg.) 20 cm. (8 pulg.) 14 cm. (5 ½ pulg.) 18 cm. (7 1 ⁄8 pulg.) 12 cm. (4 ¾ pulg.) 16 cm. (6 3 ⁄8 pulg.) 10 cm. (4 pulg.)
12.18 Muscari (jacintos de uva)
Designado por centímetros o pulgadas de circunferencia. Top 9 cm. y más (3 ½ pulg. y más) Grande 8 cm. (3 pulg.) Mediano 7 cm. (2 ¾ pulg.)
12.19 Narciso y narciso
Los bulbos de narciso se designan como «nariz doble» (DN) o «redondo» (RN), y deben clasificarse por tamaño como DN I, DN II, DN III, o RN I, RN II o RN III, o mediante el uso de las designaciones apropiadas «Superior», «Grande» o «Mediana», como se muestra a continuación.
12.19.1 – Nariz doble
La nariz doble significa que los bulbos muestran evidencia de producir dos o más flores. Debido al doble carácter de la bulbo, no se pueden usar mediciones de circunferencia. La designación del tamaño de las bulbos DN está determinada por la cantidad de bulbos requeridos para llenar una canasta de 50 litros (50,000 centímetros cúbicos, 1.77 pies cúbicos o 13.2 galones). Algunos cultivares tienden a ser más grandes que el promedio (por ejemplo, «E.H. Krelage», «Semper Avanti») o más pequeños que el promedio (por ejemplo, «Poeticus», «White Sail»). La siguiente tabla muestra ejemplos del número de bulbos DN por canasta de 50 litros para cada designación de tamaño: (Tamaño) Med. Grande superior. DN I DN II DN III Trompeta 200 275 375 ‘E.H. Krelage ‘175 250 350’ Magnificencia ‘250 325 450 Copa grande 200 275 375’ Fortuna ‘225 300 400’ Semper Avanti ‘175 250 350 Copa pequeña 300 400 550’ Barret Browning ‘200 275 375’ Verger ‘275 350 450 Tazetta 275 350 475 ‘Geranio’ 250 325 450 Poeticus 400 550 700 ‘Actea’ 275 350 475 Doble 300 400 550 ‘Alegría’ 275 350 475 ‘Texas’ 250 325 450 ‘Vela Blanca’ 400 550 700
12.19.2 – Redondo significa bulbos de nariz simple que son bastante circulares en sección transversal.
Si bien el tamaño puede variar de la norma para ciertos cultivares, generalmente los centímetros o pulgadas de circunferencia son: RD I Top 14 cm. y más (5 ½ pulg. y más) RD II Grande 12 cm. (4 ¾ in.) RD III Mediano 10 cm. (4 pulg.)
12.20 Narciso – Papel blanco
Un tipo de bulbo normalmente mucho más pequeño que otros tipos de narcisos. Designado por centímetros o pulgadas de circunferencia. Top 16 cm. y más (6 3 ⁄8 pulg. y más) Grande 15 cm. (6 pulg.) Mediano 14 cm. (5 ½ pulg.) Pequeño 12 cm. (4 ¾ in.)
12.21 Ranunculus
Designado por centímetros o pulgadas de diámetro. Gigante 8 cm. (3 pulg. Y más) Extra grande de 7 cm. (2 ¾ pulg.) Grande 6 cm. (2 ½ pulg.) Mediano 5 cm. (2 pulg.) Pequeño 4 cm. (1 ½ pulg.)
12.22 Tulipanes
Designada por centímetros o pulgadas de circunferencia. Top 12 cm. y arriba (4 ¾ in. y arriba) Grande 11 cm. (4 ½ pulg.) Mediano 10 cm. (4 pulg.) Pequeño 9 cm. (3 ½ pulg.)
12.23 Tuberosas Designadas por centímetros o pulgadas de diámetro. Top 19 cm. y arriba (4 pulgadas y arriba) Primero 8 cm. (3 en.)
Sección 13: plantas perennes herbáceas, hierbas ornamentales, cubiertas de tierra y vides
Esta sección se aplica a las plantas que generalmente se venden al comercio minorista y al paisaje. Para alinear las existencias vendidas en el comercio mayorista para el cultivo continuo, o para las plantas enumeradas en esta sección que se venden en contenedores más pequeños que # SP4, consulte la Sección 7 – Plantas jóvenes.
13.1 Especificaciones generales
Las plantas en esta sección deben especificarse por la forma en que se comercializan: cultivo en contenedores, raíz desnuda o en macetas de campo (consulte la Sección
13.1.1). Las especificaciones para ciertas plantas cultivadas en contenedor en esta sección deben incluir tanto el tamaño de la planta como el tamaño del contenedor, mientras que las especificaciones para otras plantas cultivadas en contenedor en esta sección pueden incluir solo el tamaño del contenedor. Incluso cuando solo se requiere el tamaño del contenedor, se recomienda a los especificadores que también incluyan un tamaño mínimo de planta. También se pueden especificar los métodos de propagación (Sección 13.1.2).
13.1.1 Tipos (forma en que se comercializan):
Cultivado en contenedor: cultivado a un tamaño específico en un contenedor. Especifique indicando la clase de contenedor de la Tabla 1 en la Sección 1.1.3.1. Raíz desnuda: libre o sustancialmente libre de cualquier suelo o medio de cultivo. Especifique como «BR». En macetas de campo: plantas cultivadas en campo que están en macetas para su entrega a medida que se extraen del campo. Especifique como «FP».
13.1.2 Métodos de propagación
Los siguientes códigos deben usarse para especificar los métodos de propagación. D = división S = plántula C = corte G = injertado L = en capas M = Coll micropropagado o cultivado en tejido. = Plantas individuales recolectadas directamente de la naturaleza o recolectadas de la naturaleza y cultivadas en un vivero.
13.2 Perennes herbáceas vendidas por divisiones oculares, abanicos o rizomas
Las especificaciones para plantas incluidas en esta sección deben incluir tanto el tamaño de la planta como el tamaño del contenedor. Se usan estándares específicos para estas plantas perennes debido a ciertos hábitos rizomatosos, tuberosos u otros hábitos de crecimiento. Los tamaños de contenedor indicados son los mínimos recomendados para el tamaño de planta listado
13.2.1 Astilbe
1-2 división ocular: # Contenedor SP4 2-3 división ocular: # Contenedor SP5 3-5 división ocular: # 1 contenedor 5 ojos y más grande: Contenedor # 2
13.2.2 Dicentra – Corazón sangrante
1-2 ojos división: # SP4 contenedor 2-3 división del ojo: # SP5 contenedor 3-5 división del ojo: # 1 contenedor 5 ojo y más grande: # 2 contenedor
13.2.3 Hemerocallis – Daylily
1-abanico (tallo) división, tamaño floreciente: # SP4 División de abanico (vástago) del contenedor 1 o 2, sistema de raíces pesadas: # SP5 Las divisiones de abanico (vástago) del contenedor de lirios enanos y en miniatura suelen ser más pequeñas de lo normal, mientras que las de los azucenas tetraploides son generalmente más grandes.

13.2.4 Hosta ssp. –
Funkia 1 ojo, grado ligero: # SP4 contenedor 1 ojo, grado pesado (bien enraizado): # SP5 contenedor 1-2 ojo, grado pesado: # 1 contenedor
13.2.5 Iris ensata (Iris japonés ) e Iris sibirica (Siberian Iris)
: división de 1-2 abanicos (vástago) (al menos 1 tamaño de floración de abanico): # SP4 contenedor 2-3 abanico (vástago) división de tamaño de floración intensa: # 1 contenedor Iris barbudo – Enano, intermedio y clasificaciones altas: rizoma pequeño de tamaño no floreciente: # contenedor SP4 Rizoma grande de tamaño floreciente: # contenedor SP5
13.2.6 Paeonia –
Peonía 2-3 división ocular: # contenedor SP5 3-5 división ocular: # 1 contenedor 5 ojo y arriba: contenedor n. ° 2 Todos los ojos contados serán ojos florecientes u ojos grandes sin flores en raíces pesadas. No se contarán los pequeños brotes «oculares».

13.2.7 Papaver orientale – Amapola oriental
Planta ligera de un año: # Contenedor SP4 Planta pesada de un año (raíz desnuda, cultivada en campo): # Contenedor SP5 13.3 Otras plantas perennes herbáceas
Las plantas perennes herbáceas no incluidas en la Sección 13.2, arriba, deberán ser especificado y vendido por clase de contenedor como se muestra en la tabla de clasificación de contenedores en el Prólogo. La masa de la raíz de la planta deberá cumplir el requisito establecido en la Sección
13.1.3, arriba. Ejemplos: Echinacea, Gaura, Penstemon, Rudbeckia, Salvia, Veronica
13.4 Hierbas ornamentales
Las hierbas ornamentales se especificarán y venderán por clase de contenedor como se muestra en la tabla de clasificación de contenedores en el Prólogo. La masa de la raíz de la planta deberá cumplir el requisito establecido en la Sección
13.1.3, arriba. Ejemplos: Cortaderia, Festuca, Miscanthus, Muhlenbergia, Panicum, Pennisetum.
13.5 Groundcovers Cubre suelos
Se especificarán y venderán por clase de contenedor como se muestra en la tabla de clasificación de contenedores en el Prólogo. La masa de la raíz de la planta deberá cumplir el requisito establecido en la Sección 13.1.3, arriba. Puede ser útil incluir información adicional en la especificación, como el número de corredores. Para las plantas que se venden en contenedores más pequeños que un # SP4, vea la Sección 6. Ejemplos: Ajuga reptans, Dalea greggii, Gazania rigens, Lantana montevidensis, Liriope, Lonicera japonica, Pachysandra procumbs, Vinca minor
13.6. Las trepadoras
Las trepadoras pueden incluir altura de estaca, si aplicable, o longitud mínima, y clase de contenedor como se muestra en la tabla de clasificación de contenedores en el Prólogo. La masa de la raíz de la planta deberá cumplir el requisito establecido en la Sección 13.1.3, arriba. El rastro más largo de la vid debe alcanzar al menos la longitud de la estaca (por ejemplo, «Hedera helix, estacado, 18» ht., # 2) Ejemplos: buganvillas, Campsis radicans, Clematis, Hedera helix, Macfadyena unguis-cati, Parthenocissus Tecomaria capensis
Sección 14: Estándares del árbol de Navidad
El estándar del presente documento deberá cumplir e incorporar plenamente los «Estándares de los Estados Unidos para las calificaciones de los árboles de Navidad», promulgados por el Departamento de Agricultura de los Estados Unidos, a partir del 30 de octubre de 1989 (reimpreso en enero de 1997) a partir de entonces puede ser revisado. Los Estándares del Árbol de Navidad están disponibles en la Rama de Productos Frescos, Programas de Frutas y Verduras, Servicio de Comercialización Agrícola, Departamento de Agricultura de los Estados Unidos, Washington, DC 20250 (http://www.ams.usda.gov/AMSv1.0/ getfile? DDocName = STELPRDC5050490).
ANEXO C:
GLOSARIO La información contenida en este Anexo no es parte de este Estándar Nacional Americano (ANS) y no se ha procesado de acuerdo con los requisitos de ANSI para un ANS. Como tal, este Anexo puede contener material que no ha sido sometido a revisión pública o un proceso de consenso.
Además, no contiene los requisitos necesarios para la conformidad con el estándar.
BALLED Y BURLAPPED (B & B). Plantas establecidas en el suelo que se han preparado para trasplantar cavando para que el suelo inmediatamente alrededor de las raíces permanezca intacto. La bola de tierra que contiene las raíces de la planta se une con arpillera o telas de malla similares.
BALLED Y POTTED (B & P). Las plantas cavaron con una bola de tierra y se colocaron en un recipiente en lugar de arpillera.
RAÍZ DESNUDA (B.R.). Plantas cosechadas de las cuales se ha eliminado el suelo o el medio de cultivo.
RAMA o TALLO. Un brote, tallo o ramita que crece desde el tallo o tronco principal.
CALIBRAR. La medida del diámetro del tallo o tronco del vivero. La ubicación de la medición depende del tipo de planta. Para árboles frutales, frutos pequeños, árboles y plántulas y arbustos, la medición de la pinza se tomará en el collar de la raíz o en otros puntos expresamente descritos en ANSI Z60.1. Para todas las demás existencias de vivero, la medición del calibre se toma seis pulgadas por encima del nivel del suelo para las existencias cultivadas en el campo y desde la línea de tierra para las existencias cultivadas en contenedores, que deben estar en o cerca de la parte superior de la erupción de la raíz, y seis pulgadas por encima de la erupción de la raíz para plantas de raíz desnuda, hasta el intervalo de tamaño de calibre de cuatro pulgadas inclusive (es decir, de cuatro pulgadas hasta, pero sin incluir, 4½ pulgadas). Si el calibrador medido a seis pulgadas mide cuatro pulgadas y media o más, el calibrador se medirá a 12 pulgadas sobre el nivel del suelo, la línea del suelo o la antorcha radicular, según corresponda. [ver también Diámetro Altura del pecho]
CAÑA. Un tallo primario que comienza en un punto no más alto que ¼ de la altura de la planta.
COLLAR [COLLAR DE RAÍZ]. La línea de unión entre la raíz de una planta y su tallo o tronco.
PLANTA RECOGIDA. Una planta que ha sido recolectada de la naturaleza o tomada de una plantación de paisajes establecida; No cultivado en una guardería.
ENVASE. Un piso, maceta, tina, etc., generalmente de plástico, madera, cerámica o metal, que se usa para cultivar o sostener una o más plantas y que generalmente evita el crecimiento de raíces más allá de sus paredes laterales o fondo. (Ver «Bolsa de cultivo» a continuación).
CONTENEDOR PLANTA CULTIVADA. Una planta cultivada y comercializada en un contenedor (Ver también «Maceta en maceta»)
CORONA. La porción de un árbol que comprende las ramas.
DIÁMETRO ALTURA (DAP). El diámetro exterior de la corteza a la altura del pecho. La altura del seno se define como 4.5 pies (1.37 m) sobre el suelo del bosque en el lado cuesta arriba del árbol. A los efectos de determinar la altura del seno, el suelo del bosque incluye la capa de tela que puede estar presente, pero no incluye los restos leñosos no incorporados que pueden elevarse por encima de la línea del suelo. OJO. Una yema latente en un cormo, tubérculo o división de raíz a partir de la cual se desarrollará un tallo cuando se planta el cormo o tubérculo
BOLSA DE TELA. Para los propósitos de ANSI Z60.1, las bolsas de tela pueden usarse sobre el suelo como «contenedores» o en el suelo como «bolsas de tela enterradas» para manipular el crecimiento de la raíz para desarrollar un sistema de raíz fibrosa dentro de la bolsa, sin la poda manual de la raíz.
VENTILADOR. Término descriptivo para el hábito de crecimiento de ciertas plantas perennes, como Iris y Hemerocallis, que no tienen tallo vertical porque las hojas se originan en el rizoma. Campo en maceta. Ver Balled and Potted.
GRADO. Un grado es una unidad de clasificación basada en un tamaño o rango de tamaño específico, número de tallos o bastones, etc. Para los propósitos de ANSI Z60.1, el grado no pretende describir la calidad, excepto para Roses.
HÁBITO DE CRECIMIENTO [HÁBITO]. El modo o la tasa de crecimiento, la forma general, el tamaño maduro y la estructura de ramificación de una planta, sin entrenamiento o poda, incluidos los cambios que tienen lugar estacionalmente durante su ciclo de vida (por ejemplo, caducifolio, floración, fructificación, etc.).
ALTURA. A menos que se especifique lo contrario, la distancia vertical entre el collar o la línea de tierra y la parte superior del tallo, medida en la posición natural de la planta. Las técnicas para una medición adecuada están determinadas por el hábito particular de crecimiento de la planta y no siempre se extienden hasta la punta del tallo.
MEDIO. Una mezcla de dos o más ingredientes, como tierra, musgo de turba, perlita, corteza molida, etc., en la que se ha cultivado una planta en contenedor.
PLANTAS DE VIVERO. Plantas cultivadas u obtenidas de un vivero.
ENCHUFE. Un cilindro de medio en el que se cultiva una planta. El término se usa generalmente para describir plántulas y esquejes enraizados que se han retirado del contenedor pero con el medio intacto por las raíces.
POT IN POT. Un método de producción de vivero cultivado en contenedores mediante el cual un contenedor se coloca en otro contenedor más grande que se ha colocado en el suelo, rodeado de tierra o material de cobertura, para ayudar en el control de malezas y los procesos de fertilización, mantener una temperatura media más constante, y evitar que la planta sea arrastrada por los vientos. Planta de bolas procesadas. Una planta cavó la raíz desnuda, mientras estaba inactiva, a la que se agrega un medio de crecimiento húmedo alrededor de las raíces para formar una bola diseñada para sostener el crecimiento de la planta.
CEPELLÓN. La bola intacta de tierra o medio de cultivo que contiene las raíces de una planta de vivero.
COLLAR DE RAÍCES. Ver COLLAR. LLAMA RAÍZ [LLAMA DEL TRONCO]. El área en la base del tallo o tronco de la planta donde el tallo o el tronco se ensancha para formar raíces; El área de transición entre el sistema de raíces y el tallo o el tronco. Poda de raíz. La poda sistemática de las raíces de las plantas de vivero que crecen en el campo para estimular la ramificación de las raíces y la producción de raíces fibrosas.
UNTADO. Un término usado para indicar el ancho horizontal de un arbusto o la copa de un árbol. Las técnicas para la medición adecuada están determinadas por el hábito particular de crecimiento de la planta, y puede no ser siempre la distancia máxima entre dos puntas de ramas.
UNDERSTOCK O ROOTSTOCK. El término utilizado para describir esa parte de una planta, incluido el collar y las raíces, en la que se ha germinado o injertado otra variedad
MALETERO. Esa porción de un tallo o tallos de un árbol debajo de la rama más baja.
TRUNK FLARE. Ver LLAMA RAÍZ. LÁTIGO. Un árbol joven sin ramas. En algunas especies y grados, la erupción inicial de ramas, llamadas «espuelas», puede estar presente.
ESPIRA. La disposición de tres o más brotes, hojas, flores o ramitas en el mismo nodo
Marzo 2020